How to derive characteristic wavelength of x-ray from energy equation?

Click For Summary
SUMMARY

The characteristic wavelength of radiation from a synchrotron storage ring can be derived using the equation λ_c = (hc/P)^(1/2), where h is Planck's constant, c is the speed of light, and P is the power of the radiation. To derive this equation, one must first calculate the energy of the radiation using E = P/f, where f is the frequency. Subsequently, the frequency can be expressed as f = E/h, leading to the wavelength equation λ = c/f. Substituting the energy equation into the wavelength formula yields the characteristic wavelength equation.

PREREQUISITES
  • Understanding of Planck's constant (h)
  • Knowledge of the speed of light (c)
  • Familiarity with the concept of radiation power (P)
  • Basic grasp of photon energy equations
NEXT STEPS
  • Study the derivation of energy equations in quantum mechanics
  • Learn about synchrotron radiation and its applications
  • Explore the relationship between frequency and wavelength in electromagnetic radiation
  • Investigate advanced topics in photon interactions and energy calculations
USEFUL FOR

Physicists, engineers, and researchers working with synchrotron radiation, as well as students studying quantum mechanics and electromagnetic theory.

boladore
Messages
9
Reaction score
0
Hello. first, sorry for my poor English.
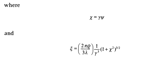
Derive characteristic wavelength from radiation powerThis is radiated power from bending magnet (synchrotron storage ring accelerating electron to get x-ray)
e0088180_4ee55381dc260.png


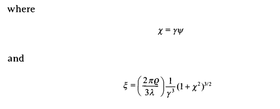
and these are wave distribution from storage ring
e0088180_4ee5531344781.png

e0088180_4ee55313bd18a.png

e0088180_4ee55313bd18a.png

e0088180_4ee5531343c86.png


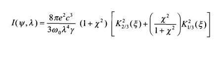
and what I have to derive is as follows. characteristic wavelength of radiation
e0088180_4ee553147b90b.png
I have to derive this equation. professor said I can derive this equation from the first power equation. I have been trying for 3 days. but couldn't find solution.
help...

Best regards.
 
Physics news on Phys.org
The characteristic wavelength of radiation is related to the power, which is given by the equation:λ_c = (hc/P)^1/2where h is Planck's constant, c is the speed of light and P is the power of the radiation.To derive this equation from the power equation you first need to calculate the energy of the radiation, E, which is given by the equation:E = P/fwhere f is the frequency of the radiation.Then using the equation for the energy of a photon, which is given by:E = hfyou can solve for the frequency, f, which is given by:f = E/hThen using the equation for the wavelength of a photon, which is given by:λ = c/fyou can solve for the wavelength, λ, which is given by:λ = c/(E/h)Finally, substituting the equation for the energy of the radiation, E = P/f, gives the equation for the characteristic wavelength of the radiation:λ_c = (hc/P)^1/2
 

Similar threads

  • · Replies 1 ·
Replies
1
Views
2K
  • · Replies 5 ·
Replies
5
Views
3K
Replies
1
Views
2K
  • · Replies 17 ·
Replies
17
Views
4K
  • · Replies 7 ·
Replies
7
Views
3K
  • · Replies 1 ·
Replies
1
Views
3K
  • · Replies 4 ·
Replies
4
Views
3K
  • · Replies 1 ·
Replies
1
Views
4K
Replies
1
Views
2K
  • · Replies 2 ·
Replies
2
Views
1K