How to Derive the ABCD Matrix for a Transmission Line?

  • Thread starter Thread starter baby_1
  • Start date Start date
  • Tags Tags
    Line Matrix
Click For Summary

Homework Help Overview

The discussion revolves around deriving the ABCD matrix for a transmission line, focusing on the relationships between voltage and current at different points along the line. Participants are exploring the necessary parameters and conditions for this derivation.

Discussion Character

  • Exploratory, Assumption checking, Mathematical reasoning

Approaches and Questions Raised

  • Participants are attempting to find the relationship between voltage components at a specific point and questioning how to define the reflection coefficient. There are discussions about the necessity of knowing the characteristic impedance (Z0) and the implications of missing information before a certain point.

Discussion Status

The discussion is ongoing with various approaches being suggested. Some participants are providing mathematical relationships and equations, while others are raising concerns about the lack of information and its impact on finding the ABCD parameters.

Contextual Notes

There are constraints noted regarding the unknown characteristic impedance (Z0) and the absence of information before a specific point on the transmission line, which are critical for deriving the required matrix elements.

baby_1
Messages
159
Reaction score
16
Hello
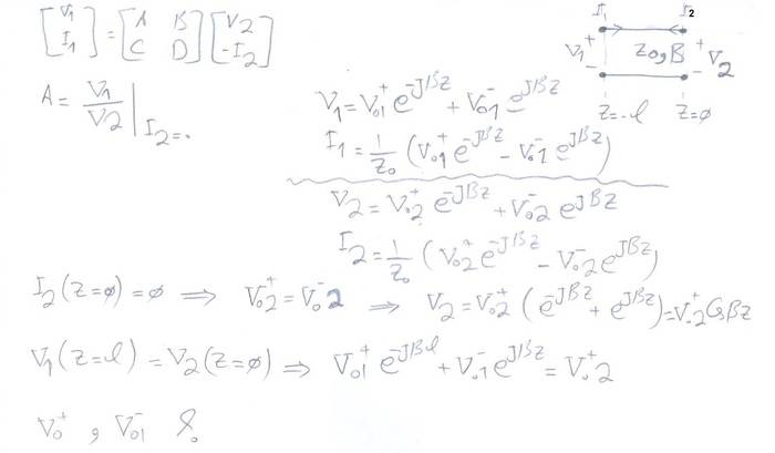
I want to obtain ABCD matrix element value.At first I tried to find A element value with boundary conditions but I don't know how can I find relationship between V(1)+ and V(1)- .
3721568100_1430153626.jpg


Any help appreciate
 
Physics news on Phys.org
Do you know how to determine the reflection coefficient ρ at position 1? 'Cause that's what Vo1-/Vo1+ is.
A convenient way to find ρ is to put the source at z = 0 and the load at z = L where L is the physical length of the transmission line.
 
  • Like
Likes   Reactions: baby_1
Thank you dear rude man
Before post this thread I think that I can use reflection coefficient too but as you know I don't have any other information before point 1 and my Z0 in this equation is unknown.
6490641500_1430751437.jpg


 
In post 1 you seem to state that Z0 was known. Anyway, it has to be known or you can't find the abcd parameters.
 
Thank you for accompany me
Here is my question we don't have any information before Point 1(Z1) how can define relationship between V+ and V-?
9658672700_1430761152.jpg
 
I'm having trouble understanding what you say and what you write.
Let me instead suggest:
V1 = V2+e + V2-e-jθ
V2 = V2+ + V2-
Γ2 = V2-/V2+ = (Z2 - Z0)/(Z2 + Z0).
Z2 = V2/I2
You can eliminate the + and - waves using the above.
And there are similar equations for I1, I2+ and I2-.
You wind up with
V1 = AV2 + BI2
I1 = CE2 + DI2
where A, B, C and D contain only θ and Z0.
 
Last edited:

Similar threads

  • · Replies 0 ·
Replies
0
Views
3K
  • · Replies 5 ·
Replies
5
Views
3K
  • · Replies 12 ·
Replies
12
Views
3K
  • · Replies 2 ·
Replies
2
Views
1K
  • · Replies 3 ·
Replies
3
Views
2K
  • · Replies 2 ·
Replies
2
Views
2K
  • · Replies 3 ·
Replies
3
Views
2K
Replies
0
Views
2K
Replies
2
Views
1K
  • · Replies 9 ·
Replies
9
Views
2K