Integrals and Derivatives: Solving Problems with Limits and Rates of Change

Click For Summary
SUMMARY

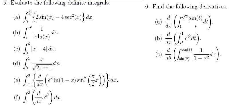
The discussion focuses on solving integrals and derivatives using limits and rates of change, specifically addressing problems 5a, 5e, 5f, and 6abc from a homework assignment. The user correctly identifies the need to evaluate the integral of 2sin(x) and the integral of 4sec²(x) from 0 to π/4, with the anti-derivatives being -2cos(x) and 4tan(x), respectively. For problems 5e and 5f, the integral of a derivative is clarified as f(b) - f(a), while problem 6abc requires the application of the Leibniz-Newton formula and the chain rule for differentiation. These insights confirm the correct approach to solving the given calculus problems.

PREREQUISITES
  • Understanding of integral calculus, specifically the evaluation of definite integrals.
  • Familiarity with derivatives and their relationship to integrals.
  • Knowledge of the Leibniz-Newton formula for differentiation.
  • Proficiency in trigonometric functions and their integrals, such as sin(x) and sec²(x).
NEXT STEPS
  • Study the evaluation of definite integrals using trigonometric functions.
  • Learn the Leibniz-Newton formula and its applications in calculus.
  • Practice problems involving the relationship between integrals and derivatives.
  • Explore advanced techniques in integral calculus, including integration by parts and substitution.
USEFUL FOR

Students studying calculus, particularly those tackling integrals and derivatives, as well as educators seeking to clarify these concepts for their students.

SA32
Messages
31
Reaction score
0

Homework Statement


In the attachment: 5aef, 6abc


The Attempt at a Solution


5a.) I started by dividing the question into two integrals: the integral of 2sin(x) evaluated from 0 to pi/4 minus the integral of 4sec2(x) evaluated from 0 to pi/4. Then the anti-derivative of 2sin(x) is -2cos(x) and the anti-derivative of 4sec2(x) is 4tan(x). I'm not sure if this is correct, though?

5e&f.) I'm not even sure what this is asking. It looks like "the integral of the derivative", which, according to my notes, is f(x)+C, but... help? I'm not sure.

6abc.) Again, not sure what this is asking. Looks like the derivative of the integral, which is f(x) in my notes. I made an attempt at the first one using the way my friend said to do it, you can see it in the second attachment, but I don't know if it is correct.

Thanks for any help!
 

Attachments

  • calcu.JPG
    calcu.JPG
    25.4 KB · Views: 448
  • 6acalc.JPG
    6acalc.JPG
    4.8 KB · Views: 487
Physics news on Phys.org
Yes, 5e and 5f are asking for the integral of a derivative, and 6 is asking for the derivative of an integral.
 
For 5a) what you're thinking is right so keep doing it.

For 5e) or 5f) use that

[tex]\int_{a}^{b} \frac{df}{dx}{}dx= f(b)-f(a)[/tex]

For 6abc) use the Leibniz-Newton formula and the chain rule of differentiation.

Daniel.
 

Similar threads

  • · Replies 6 ·
Replies
6
Views
2K
  • · Replies 4 ·
Replies
4
Views
2K
  • · Replies 7 ·
Replies
7
Views
3K
Replies
2
Views
1K
  • · Replies 19 ·
Replies
19
Views
3K
Replies
3
Views
2K
  • · Replies 9 ·
Replies
9
Views
2K
Replies
9
Views
2K
Replies
2
Views
2K
  • · Replies 4 ·
Replies
4
Views
2K