Is My Proof for Convergence to the Mean Valid?

  • Context: Graduate 
  • Thread starter Thread starter SiddharthM
  • Start date Start date
  • Tags Tags
    Convergence Mean
Click For Summary

Discussion Overview

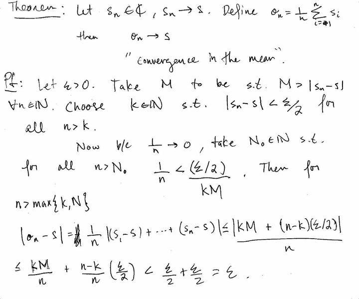
The discussion revolves around the validity of a proof concerning convergence in the mean. Participants are evaluating a handwritten proof shared by the original poster, which involves specific mathematical notations and conditions related to convergence.

Discussion Character

  • Technical explanation, Debate/contested

Main Points Raised

  • The original poster questions the legitimacy of their proof, specifically regarding the condition that the size of 1/n is less than epsilon/kM, expressing some uncertainty about this aspect.
  • One participant suggests that the condition "n > 2kM/e" would provide a more direct approach than using reciprocals.
  • Another participant indicates that they did not notice any obvious errors upon a quick review of the proof.
  • A request is made for a more thorough evaluation of the proof's validity, indicating a desire for more detailed feedback.

Areas of Agreement / Disagreement

Participants have not reached a consensus on the validity of the proof. There are differing levels of scrutiny and confidence expressed, with some participants seeking further validation while others have not identified clear errors.

Contextual Notes

The discussion includes uncertainty regarding the mathematical conditions and the implications of the proof's structure. Specific assumptions about the variables and parameters involved remain unaddressed.

SiddharthM
Messages
176
Reaction score
0
Convergence in the Mean. I attached a picture of a handwritten proof because I don't know how to use Latex and there is too much hullabaloo to type it out without the notation.

I'm wondering if my proof is legit - i make the size of 1/n be less than epsilon/kM...i'm not sure...hmmmmmmm, I think it's fine though because that k is fixed.

Let me know if my proof is satisfactory.

a .jpg file is attached with the proof.
 

Attachments

  • Convergence in the mean.jpg
    Convergence in the mean.jpg
    36.2 KB · Views: 496
Physics news on Phys.org
"n > 2kM/e" would be more direct than the reciprocals.
 
so it's correct?
 
I looked at it quickly and didn't see any obvious errors.
 
can someone please take a serious look at this and tell me whether or not the proof is fine?
 

Similar threads

  • · Replies 7 ·
Replies
7
Views
3K
Replies
10
Views
2K
  • · Replies 2 ·
Replies
2
Views
2K
  • · Replies 3 ·
Replies
3
Views
4K
  • · Replies 2 ·
Replies
2
Views
2K
  • · Replies 2 ·
Replies
2
Views
2K
  • · Replies 1 ·
Replies
1
Views
3K
  • · Replies 11 ·
Replies
11
Views
3K
Replies
4
Views
4K
  • · Replies 1 ·
Replies
1
Views
1K