mathmari
Gold Member
MHB
- 4,984
- 7
Hey! 
We want to get from the poit $A$ to the point $B$ avoiding the lake. How should we move to minimize the distance?
View attachment 4795
There are the following possibilities:
1.
View attachment 4794
(We go along the red lines)
In this case the distance is the following:
Let $y_1$ be the first red line and $y_2$ the second one. Then from the Pythagorean theorem we have the following:
$$y_1^2=a^2+p^2 \Rightarrow y_1=\sqrt{a^2+p^2} \\ y_2^2=(b-a)^2+p^2 \Rightarrow y_2=\sqrt{(b-a)^2+p^2}$$
So the length of the way is equal to $y_1+y_2$. Is this correct? 2.
View attachment 4796
To find the the lengh ofthe first red line we apply the pythagorean theorem, right? So let $x$ be this part, then $a^2=x^2+p^2 \Rightarrow x=\sqrt{a^2-p^2}$. The last part of the red line is equal to $b-a$. How can we find the length of the red part of the circle? 3.
View attachment 4797
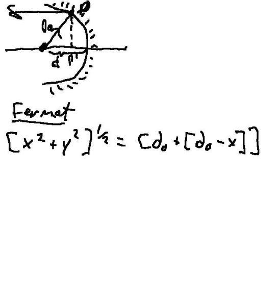
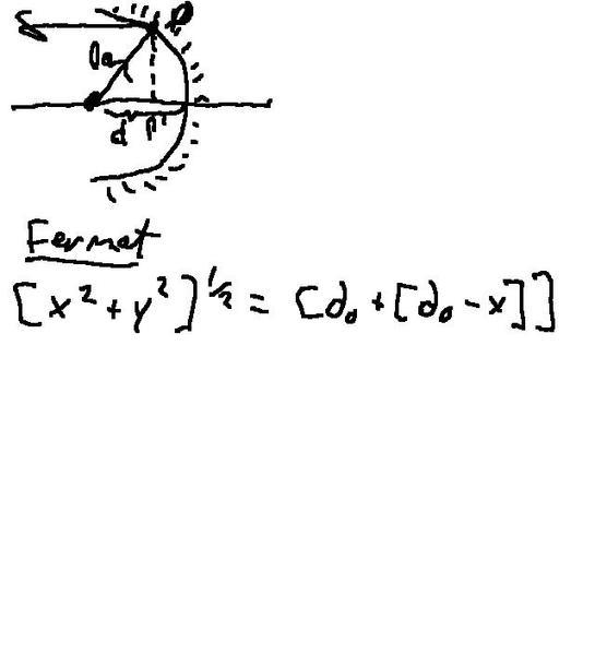
How can we find in this case the length of the red line?
We want to get from the poit $A$ to the point $B$ avoiding the lake. How should we move to minimize the distance?
View attachment 4795
There are the following possibilities:
1.
View attachment 4794
(We go along the red lines)
In this case the distance is the following:
Let $y_1$ be the first red line and $y_2$ the second one. Then from the Pythagorean theorem we have the following:
$$y_1^2=a^2+p^2 \Rightarrow y_1=\sqrt{a^2+p^2} \\ y_2^2=(b-a)^2+p^2 \Rightarrow y_2=\sqrt{(b-a)^2+p^2}$$
So the length of the way is equal to $y_1+y_2$. Is this correct? 2.
View attachment 4796
To find the the lengh ofthe first red line we apply the pythagorean theorem, right? So let $x$ be this part, then $a^2=x^2+p^2 \Rightarrow x=\sqrt{a^2-p^2}$. The last part of the red line is equal to $b-a$. How can we find the length of the red part of the circle? 3.
View attachment 4797
How can we find in this case the length of the red line?