Is There a Better Way to Approach Vector Identities?

Click For Summary

Discussion Overview

The discussion revolves around vector identities, particularly focusing on the manipulation of expressions involving dot and cross products. Participants explore various approaches to simplify or clarify these identities, with an emphasis on understanding the underlying properties and relationships between the vectors involved.

Discussion Character

  • Technical explanation
  • Mathematical reasoning
  • Debate/contested

Main Points Raised

  • One participant presents a complex expression involving vectors and seeks clarification on the manipulation of terms, particularly regarding the laws governing vector products.
  • Another participant provides a step-by-step breakdown of the expression, emphasizing the importance of recognizing the scalar and vector nature of the products involved.
  • A later reply questions the transition from one step to another, seeking to understand the identity that allows the simplification.
  • Participants discuss the properties of the dot product and the implications of scalar multiplication in the context of vector identities.
  • Corrections are made regarding the order of vectors in a dot product, highlighting the collaborative nature of the discussion.
  • Expressions of gratitude are shared, indicating a positive learning environment and the value of peer interaction in understanding complex topics.

Areas of Agreement / Disagreement

While participants engage in clarifying and correcting each other's contributions, there is no explicit consensus on a single approach or solution to the vector identities discussed. Multiple viewpoints and methods are presented, reflecting an ongoing exploration of the topic.

Contextual Notes

The discussion includes assumptions about vector properties and identities that may not be universally agreed upon. Some steps in the mathematical reasoning remain unresolved, and participants express uncertainty about specific manipulations.

Who May Find This Useful

Readers interested in vector calculus, mathematical physics, or those looking to deepen their understanding of vector identities and their applications may find this discussion beneficial.

ognik
Messages
626
Reaction score
2
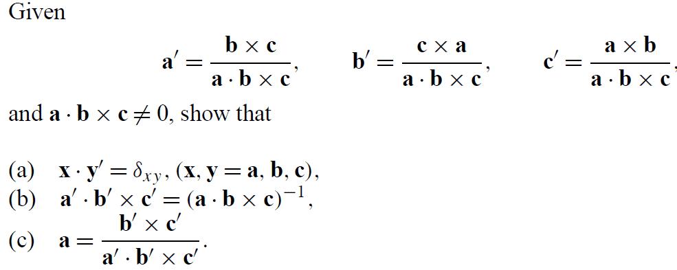
Please excuse my copying this question in, minimising my input :-)
View attachment 4920

Part (b): Let $ a.b \times c =v $
Then $ a'.b' \times c' = \left( \frac{b \times c}{v}\right) . \left( \frac{c \times a}{v} \times \frac{a \times b}{v}\right) $

$ = v^{-1} \left(b \times c\right). \left[ \left(c \times a\right) \times \left(a \times b\right) \right] $

From a previous exercise, $ \left(a \times b\right) \times \left(c \times d\right) = \left(a.b \times d\right)c - \left(a.b \times c\right)d $ ...

I get $ v^{-1} \left(b \times c\right). \left[ \left(c.a \times b\right)a - \left(c.a \times a\right)b \right] $
the $a \times a$ term = 0, but I am not sure of the laws around something like $ \left(c.a \times b\right)a $

I don't think I can do $ \left(c.a.a \times b.a\right) $ ? So I'm a bit stuck here, maybe there's a better way to approach this..
 

Attachments

  • V_ident.png
    V_ident.png
    11 KB · Views: 129
Physics news on Phys.org
With your definition of $v=\mathbf{a}\cdot(\mathbf{b}\times\mathbf{c})$, we have
\begin{align*}
\mathbf{a}'\cdot(\mathbf{b}'\times\mathbf{c}')&=\frac{1}{v^3}\left[(\mathbf{b}\times\mathbf{c})\cdot
((\mathbf{c}\times\mathbf{a})\times(\mathbf{a}\times\mathbf{b}))\right] \\
&=\frac{1}{v^3}\left[(\mathbf{b}\times\mathbf{c})\cdot
[(\mathbf{c}\cdot(\mathbf{a}\times\mathbf{b}))\mathbf{a}-\underbrace{(\mathbf{c}\cdot(\mathbf{a}\times\mathbf{a}))\mathbf{b}}_{=\mathbf{0}}]\right] \\
&=\frac{\mathbf{c}\cdot(\mathbf{b}\times\mathbf{a})}{v^3} \, [(\mathbf{b}\times\mathbf{c})\cdot\mathbf{a}].
\end{align*}
Recognizing that $\mathbf{a}\cdot(\mathbf{b}\times\mathbf{c})=\mathbf{b}\cdot(\mathbf{c}\times\mathbf{a})
=\mathbf{c}\cdot(\mathbf{a}\times\mathbf{b})$, can you finish?
 
Ackbach said:
$\frac{\mathbf{c}\cdot(\mathbf{b}\times\mathbf{a})}{v^3} \, [(\mathbf{b}\times\mathbf{c})\cdot\mathbf{a}].$

Its this step I am struggling with, can't see what (identity?) gets this from the previous step?
 
There's a property of the dot product. Suppose $\mathbf{a}$ and $\mathbf{b}$ are vectors, and $c$ is a scalar. Then it is a fact that $\mathbf{a}\cdot(c\mathbf{b})=c(\mathbf{a}\cdot\mathbf{b})$. Then, it's very important to remember that the result of a cross product is a vector, and the result of a dot product is a scalar. It follows that
\begin{align*}
\mathbf{a}'\cdot\left(\mathbf{b}'\times\mathbf{c}'\right)&=\frac{1}{v^3}\left[(\mathbf{b}\times\mathbf{c})\cdot
((\mathbf{c}\times\mathbf{a})\times(\mathbf{a}\times\mathbf{b}))\right] \\
&=\frac{1}{v^3}\left[\underbrace{(\mathbf{b}\times\mathbf{c})}_{\text{vector}}\cdot
[\underbrace{(\mathbf{c}\cdot(\mathbf{a}\times\mathbf{b}))}_{\text{scalar}} \; \mathbf{a}-\underbrace{(\mathbf{c}\cdot(\mathbf{a}\times\mathbf{a}))\mathbf{b}}_{=\mathbf{0}}]\right] \\
&=\frac{1}{v^3}\left[\underbrace{(\mathbf{b}\times\mathbf{c})}_{\text{vector}}\cdot
[\underbrace{(\mathbf{c}\cdot(\mathbf{a}\times\mathbf{b}))}_{\text{scalar}} \; \mathbf{a}\right] \\
&=\frac{\mathbf{c}\cdot(\mathbf{b}\times\mathbf{a})}{v^3} \, [(\mathbf{b}\times\mathbf{c})\cdot\mathbf{a}].
\end{align*}
Does that answer your question?

[EDIT] See below for a correction.
 
It did finally, and just checking - in the c.(A x B) did you accidentally swap A x B to B x A ?
 
ognik said:
It did finally, and just checking - in the c.(A x B) did you accidentally swap A x B to B x A ?

You're quite right. It should be $\mathbf{c}\cdot(\mathbf{a}\times\mathbf{b})$ in the last line. Good catch, and thank you!
 
It feels good to be getting better - and a significant amount of thanks is due to yourself and others who have helped me this year! While I am happy working on my own, I do miss the interaction of a University environment, it makes more of a difference than I expected.
 

Similar threads

  • · Replies 9 ·
Replies
9
Views
2K
  • · Replies 4 ·
Replies
4
Views
2K
  • · Replies 1 ·
Replies
1
Views
1K
  • · Replies 6 ·
Replies
6
Views
2K
  • · Replies 4 ·
Replies
4
Views
2K
  • · Replies 5 ·
Replies
5
Views
2K
  • · Replies 1 ·
Replies
1
Views
2K
  • · Replies 3 ·
Replies
3
Views
2K
  • · Replies 15 ·
Replies
15
Views
2K