Kinematics Problem: Get Help Solving

Click For Summary

Homework Help Overview

The discussion revolves around a kinematics problem involving total distance calculations and the interpretation of equations related to motion. Participants are exploring various approaches to arrive at a solution while adhering to forum rules regarding attempts at solutions.

Discussion Character

  • Exploratory, Assumption checking, Problem interpretation

Approaches and Questions Raised

  • Participants are questioning the validity of the original poster's equation for total distance, with some suggesting that it may be incorrect based on expected forms. There are inquiries about the reasoning behind the original poster's answer and requests for clarification on their approach. Others express uncertainty about their own interpretations and seek feedback on their methods.

Discussion Status

The discussion is active, with participants providing feedback on each other's reasoning and equations. Some have offered to check the original poster's work, while others are sharing their own interpretations and approaches. There is a mix of agreement and differing views on the correctness of the equations presented.

Contextual Notes

Participants are navigating the constraints of the forum's rules, which require an attempt at a solution before receiving help. There are indications of confusion regarding the problem setup and the specifics of the equations involved, particularly concerning the variable 'n' and its implications in the calculations.

HP-Physics
Messages
7
Reaction score
0
Homework Statement
Calculate the distance that the driver has traveled in the process.
Relevant Equations
A group of n people needs to move from point A to point B about a distance AB=l apart, but they only have a bike and only one of them is capable of motorcycling (called the driver). The bike has only 2 seats. For everyone to depart from A and arrive in B at the same time, they decide to let the first man accompany the driver (while the others were walking) to the point T_1 and get the first man off. Then, the driver immediately turns back to the point D_2 to come along with the second man to chase the first man and they meet at the point T_2. Then, the second man walks together with the first one to B and the driver comes back to the third one. The process continues to the k man, he would be picked up at T_k and gotten off at D_k to meet the others. Know that n>2, the velocity of all walkers is the same and equal to u. The velocity of the motorbike is v with one person and with two people, it is v^'.
I'm not sure about my answer
 

Attachments

  • KINEMATICS 1.jpg
    KINEMATICS 1.jpg
    56 KB · Views: 163
Physics news on Phys.org
You need to provide an attempt at a solution before you can get any help, per rules. Why are you not sure about your answer? How did you arrive at your answer?
 
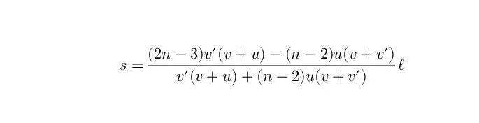
My total distance is this equation
 

Attachments

  • Ans1.jpg
    Ans1.jpg
    5.9 KB · Views: 155
Do you want us to check it for you? We do that, on occaision, depending on what else is goin' on in our lives. You did not respond to my two questions. Please do.
 
Last edited:
lewando said:
Do you want us to check it for you? We do that, on occaision, depending on what else is goin on in our lives. You did not respond to my two questions. Please do.
Yep, please check it for me. I think it's a difficult one and want to share for everyone. Just that :)
 
HP-Physics said:
My total distance is this equation
That doesn't look right to me at all. I would expect to see n as an exponent in the answer.
It is certainly wrong at n=2, but that can be corrected merely by changing one sign in your answer.

Edit: all nonsense... see post #9.

Please post your working.
 
Last edited:
haruspex said:
That doesn't look right to me at all. I would expect to see n as an exponent in the answer.
It is certainly wrong at n=2, but that can be corrected merely by changing one sign in your answer.

Please post your working.
Yes, with n=2 it's quite simple and the original of this exercise. I'm trying to do with n>2. Okie
 
I'm really sorry about my English grammar, it is not good
 

Attachments

  • Ans 1 (Kin).jpg
    Ans 1 (Kin).jpg
    44.4 KB · Views: 158
HP-Physics said:
I'm really sorry about my English grammar, it is not good
I take it all back. 🤭
My intuition about the form of the answer was based on a wrong view of the question, and I blundered in checking your answer at n=2.
I get the same answer as you do, by a somewhat different route.
 
  • #10
haruspex said:
I take it all back. 🤭
My intuition about the form of the answer was based on a wrong view of the question, and I blundered in checking your answer at n=2.
I get the same answer as you do, by a somewhat different route.
How do you think, about this problem?
 
  • #11
HP-Physics said:
How do you think, about this problem?
Do you mean, how did I approach it?
 
  • #12
Not really, I mean if you have any better solutions
 
  • #13
HP-Physics said:
Not really, I mean if you have any better solutions
Don't know that it is better, still quite messy.
I used y for forward motoring step distance, y-x for reverse motoring step, t for time of one of each.
t = y/v'+(y-x)/v = x/u
L = y + (n-2)x
From which we can find x and y.
Total distance = y + (n-2)(2y-x)
 

Similar threads

  • · Replies 25 ·
Replies
25
Views
3K
  • · Replies 43 ·
2
Replies
43
Views
3K
Replies
8
Views
2K
Replies
18
Views
2K
  • · Replies 8 ·
Replies
8
Views
3K
Replies
3
Views
3K
  • · Replies 7 ·
Replies
7
Views
3K
  • · Replies 20 ·
Replies
20
Views
4K
  • · Replies 2 ·
Replies
2
Views
1K
  • · Replies 1 ·
Replies
1
Views
3K