Kruskal Coordinates in Schwartzchild metric

  • Context: Graduate 
  • Thread starter Thread starter mad mathematician
  • Start date Start date
Click For Summary

Discussion Overview

The discussion revolves around the application of Kruskal coordinates in the Schwarzschild metric, specifically addressing discrepancies in the transformation and resulting metric forms as presented in a text by Birrell and Davies. Participants explore the mathematical derivations and implications of their calculations related to the Kruskal transformation.

Discussion Character

  • Technical explanation
  • Mathematical reasoning
  • Debate/contested

Main Points Raised

  • One participant presents an alternative formulation of the Kruskal metric, suggesting changes to the terms involving ##2M/r## and ##e^{-r/2M}##.
  • Another participant questions whether this alternative formulation still retains a coordinate singularity at ##r=2M##, implying a potential issue with the proposed transformation.
  • Calculations are shared by one participant, who attempts to derive the Schwarzschild metric from their version of the Kruskal transformation.
  • Corrections are made regarding the expression for ##dr^*##, with participants discussing the implications of these corrections on the overall derivation.
  • There is a clarification that ##r## and ##r^*## are distinct quantities, which is crucial for maintaining the accuracy of the transformations.
  • Hints are provided to assist in resolving the mathematical expressions involved in the discussion.

Areas of Agreement / Disagreement

Participants express differing views on the correctness of the alternative Kruskal metric formulation, with some supporting the original text's version while others propose modifications. The discussion remains unresolved regarding the implications of these changes and whether they lead to valid transformations.

Contextual Notes

Participants note the importance of precise definitions and calculations in the context of the transformations, highlighting that assumptions about the relationship between ##r## and ##r^*## are critical to the discussion.

mad mathematician
Messages
151
Reaction score
26
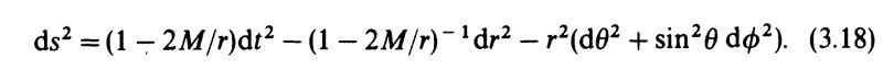
I am reading the book by Birrell and Davies on QFT on curved spacetime.
On page 40 they write the following metric:
1766758466483.webp

and on the following page they provide the Kruskal Coordiantes and the changed metric:
1766758539517.webp

Now, I get something a little bit different than theirs.
According to my computations, if we change ##2M/r## to ##(1-2M/r)## and ##e^{-r/2M}## to ##e^{-r^*/2m}##, then I get that by Kruskal transformation that (3.20) is equivalent to (3.18).
Am I right?
 
Physics news on Phys.org
If I understand you correctly: wouldn't that mean that your version of the Kruskal metric still has a coordinate singularity at r=2M?

So no, that doesn't seem right.
 
mad mathematician said:
Now, I get something a little bit different than theirs.
If you'll post your calculations, we'll be able to comment (and if you do so, please use LaTeX (which enables quoting)).
 
OK, here are my calculations. Let me know where did I get it wrong.
So we have the following: ##d\bar{u}=e^{-u/4M}du## and ##d\bar{v}=e^{v/4M}dv##.
Now, we should multiply ##d\bar{u}d\bar{v}=e^{(v-u)/4M}dudv##.
Now, ##du=dt-dr^* , dv=dt+dr^*##, so multiply and get:
##d\bar{u}d\bar{v}=e^{(v-u)/4M}(dt^2-(dr^*)^2)##, notice that: ##v-u=2r^*##, and ##dr^*=dr+dr/(r/2M-1)=dr/(1-2M/r)##, plug the last two equations and get: ##d\bar{u}d\bar{v}=e^{r^*/2M}(dt^2-dr^2/(1-2M/r)^2)##.
So as we can see, I hope, we get back the Schwarzchild metric (eq. 3.18), if we multiply ##d\bar{u}d\bar{v}## by ##e^{-r^*/2M}(1-2M/r)##.

Your comments are well appreciated, thanks!

Edit: changed what @JimWhoKnew rightly so remarked my mistake.
 
Last edited:
Shouldn't it be
##dr^*=dr+dr/(r/2M-1)=dr/(1-2M/r)##
?

I didn't read beyond that. I'll do, if necessary, after your reply.
 
  • Like
Likes   Reactions: Nugatory
JimWhoKnew said:
Shouldn't it be
##dr^*=dr+dr/(r/2M-1)=dr/(1-2M/r)##
?

I didn't read beyond that. I'll do, if necessary, after your reply.
good catch, I'll change it. you are right.
 
mad mathematician said:
good catch, I'll change it. you are right.
I lost track.
Can you see that after the correction, you have$$\frac{2M}r e^{-r/2M}d\bar{u}d\bar{v}=\frac{2M}r e^{-r/2M}e^{r^*/2M}(dt^2-dr^2/(1-2M/r)^2)$$which correctly yields the corresponding terms in Schwarzschild metric?
(when ##~r>2M~##)
 
  • Like
Likes   Reactions: Nugatory
JimWhoKnew said:
I lost track.
Can you see that after the correction, you have$$\frac{2M}r e^{-r/2M}d\bar{u}d\bar{v}=\frac{2M}r e^{-r/2M}e^{r^*/2M}(dt^2-dr^2/(1-2M/r)^2)$$which correctly yields the corresponding terms in Schwarzschild metric?
(when ##~r>2M~##)
There should be a difference between ##r## and ##r^*##, they aren't the same.
 
mad mathematician said:
There should be a difference between ##r## and ##r^*##, they aren't the same.
Of course they are not. That's how you can get the factors right.

Hint: use ##~e^{\ln{x}}=x~## in the equation in #7.
 
Last edited:
  • Like
Likes   Reactions: Nugatory and mad mathematician
  • #10
Thanks that cleared my perplexion.
 

Similar threads

  • · Replies 1 ·
Replies
1
Views
1K
  • · Replies 8 ·
Replies
8
Views
3K
  • · Replies 5 ·
Replies
5
Views
2K
  • · Replies 8 ·
Replies
8
Views
2K
  • · Replies 8 ·
Replies
8
Views
3K
  • · Replies 26 ·
Replies
26
Views
2K
  • · Replies 40 ·
2
Replies
40
Views
6K
  • · Replies 1 ·
Replies
1
Views
2K
  • · Replies 4 ·
Replies
4
Views
2K
  • · Replies 8 ·
Replies
8
Views
2K