Laplace operator in spherical coordinates

  • Thread starter Thread starter physicss
  • Start date Start date
  • Tags Tags
    Laplace
Click For Summary
SUMMARY

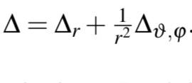
The discussion centers on the application of the Laplace operator in spherical coordinates, referencing the Wikipedia page on the topic. Participants emphasize the importance of clarity in visual representations, specifically regarding the orientation of images. The conversation highlights the need for accurate and accessible illustrations to facilitate understanding of complex mathematical concepts.

PREREQUISITES
  • Understanding of the Laplace operator
  • Familiarity with spherical coordinates
  • Basic knowledge of vector calculus
  • Ability to interpret mathematical illustrations
NEXT STEPS
  • Research the derivation of the Laplace operator in spherical coordinates
  • Explore vector calculus applications in physics
  • Learn about visual representation techniques for mathematical concepts
  • Study common errors in mathematical illustration and how to avoid them
USEFUL FOR

Mathematicians, physics students, educators, and anyone involved in teaching or learning advanced calculus concepts.

physicss
Messages
25
Reaction score
4
Homework Statement
Hello, I had to calculate ∆r and ∆Theta,phi. Is the answer on the second picture correct?
Relevant Equations
∆r, ∆Theta,phi
AF8CF310-EAA1-49D5-849E-36C87E749D71.jpeg
36C3B8DA-8751-43C9-8175-DFC4BDC35448.png
 
Physics news on Phys.org

Similar threads

Replies
2
Views
1K
Replies
5
Views
1K
  • · Replies 7 ·
Replies
7
Views
2K
Replies
5
Views
3K
  • · Replies 3 ·
Replies
3
Views
3K
  • · Replies 2 ·
Replies
2
Views
2K
  • · Replies 6 ·
Replies
6
Views
2K
  • · Replies 3 ·
Replies
3
Views
3K
Replies
1
Views
2K
  • · Replies 3 ·
Replies
3
Views
2K