Linear Algebra - LU Factorization

Click For Summary
SUMMARY

The discussion centers on LU Factorization, a method used in numerical analysis to decompose a matrix into a lower triangular matrix (L) and an upper triangular matrix (U). The user seeks feedback on their approach to LU Factorization, indicating a need for validation of their work. The conversation highlights the importance of understanding matrix decomposition techniques and their applications in solving linear equations.

PREREQUISITES
  • Understanding of matrix operations and properties
  • Familiarity with numerical analysis concepts
  • Knowledge of linear algebra fundamentals
  • Experience with computational tools for matrix manipulation
NEXT STEPS
  • Study the algorithm for LU Factorization in detail
  • Explore applications of LU Factorization in solving linear systems
  • Learn about pivoting strategies in LU Factorization
  • Investigate software tools like MATLAB or NumPy for implementing LU Factorization
USEFUL FOR

Students, educators, and professionals in mathematics, engineering, and computer science who are working with linear algebra and numerical methods will benefit from this discussion.

ashah99
Messages
55
Reaction score
2
Homework Statement
Please see attached photo for problem statement.
Relevant Equations
LU Factorization concepts
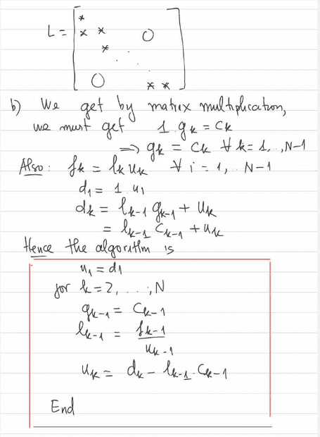
Hello all, I have a problem related to LU Factorization with my work following it. Would anyone be willing to provide feedback on if my work is a correct approach/answer and help if it needs more work? Thanks in advance.

Problem:
1626274232520.png


Work:
1626274250887.png

1626274265082.png
 
Physics news on Phys.org

Similar threads

  • · Replies 2 ·
Replies
2
Views
3K
  • · Replies 2 ·
Replies
2
Views
2K
  • · Replies 5 ·
Replies
5
Views
2K
Replies
4
Views
2K
  • · Replies 3 ·
Replies
3
Views
1K
  • · Replies 6 ·
Replies
6
Views
2K
  • · Replies 1 ·
Replies
1
Views
2K
  • · Replies 25 ·
Replies
25
Views
4K
Replies
7
Views
3K
  • · Replies 8 ·
Replies
8
Views
2K