Liouville Master Equation for an Open Quantum System

Click For Summary

Discussion Overview

The discussion revolves around the Liouville master equation as it applies to open quantum systems, particularly in relation to the Lindblad quantum master equation. Participants explore the definitions and implications of probability functionals, the concept of unravelling the Lindblad equation, and the relationship between stochastic processes and quantum measurements.

Discussion Character

  • Exploratory
  • Technical explanation
  • Conceptual clarification
  • Debate/contested
  • Mathematical reasoning

Main Points Raised

  • Some participants discuss the nature of the probability functional ##P[\psi,t]##, suggesting it depends on the quantum system and may involve position and time.
  • There is a proposal that the Lindblad quantum master equation can be related to the Liouville master equation, with references to Breuer and Petruccione's work.
  • One participant describes the wave function as a point in projective Hilbert space, with the small system part parameterized by position and the detector part by occupation numbers.
  • Another participant explains that the Lindblad equation can be derived by averaging ##\widehat\rho=\psi\psi^*## over realizations of the process for ##\psi##, indicating that the piecewise deterministic process (PDP) is an unraveling of the Lindblad equation.
  • There is a question about the terminology of "unravelling" versus "solving" the equation, with a suggestion that unravelling is not unique and depends on measurement details.
  • Participants discuss the process of averaging the density matrix over classical realizations, with one suggesting that inserting the stochastic differential equation for ##\psi## into the density matrix leads to a differential equation for ##\rho##.
  • One participant raises the issue of whether solving a Stochastic Schrödinger Equation (SSE) numerically to obtain the wavefunction equates to solving the Lindblad equation, with a clarification that averaging over many realizations provides a good approximation to the density matrix.
  • There is a caution that solving an SSE exactly is generally more difficult than solving the corresponding Lindblad equation.

Areas of Agreement / Disagreement

Participants express varying levels of understanding regarding the concepts of unravelling and averaging in the context of the Liouville and Lindblad equations. While some points are clarified, there remains uncertainty and differing interpretations on the processes involved and the implications of the terminology used.

Contextual Notes

Participants note that the accuracy of approximating the density matrix from a single simulation is limited, with statistical methods yielding results that depend on the number of realizations.

Raptor112
Messages
46
Reaction score
0
By reading Heinz-Peter Breuer:

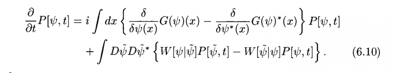
A Piece Wise Deterministic Process (where you have a deterministic time-evolution + a jump process and which is just a particular type of stochastic process) may be defined in terms of a Liouville master equation for its probability density :
upload_2016-3-9_18-56-0.png

Where the first term is the deterministic term and the second term is the jump term.
So my questions are :
1. ##P[\psi,t] ## is a probability functional so its a function of the wave function which is a function of what? time?
2. Is it also possible to relate this to the Lindblad Quantum Master Equation which is the most general master equation for an open Markovian system?
 
Physics news on Phys.org
Raptor112 said:
1. ##P[\psi,t] ## is a probability functional so its a function of the wave function which is a function of what? time?
That depends on the quantum system. In the way it is represented there, at least position and time.

Raptor112 said:
2. Is it also possible to relate this to the Lindblad Quantum Master Equation which is the most general master equation for an open Markovian system?
Yes. I don't have it with me now, but this is in the book by Breuer and Petruccione, Open Quantum Systems.
 
Raptor112 said:
1. ##P[\psi,t] ## is a probability functional so its a function of the wave function which is a function of what? time?
2. Is it also possible to relate this to the Lindblad Quantum Master Equation which is the most general master equation for an open Markovian system?
1. The wave function is a point in a projective Hilbert space. Sometimes the latter is a function space, sometimes not. Typically the small system part is parameterized in terms of position, whereas the detector part is parameterized in terms of occupation numbers for field modes. The big Hilbert space is the tensor product of both. The reduced Hilbert space in which the PDP lives is just that of the small system. If it is a nonrelativistic electron it is ##L^2(R^3,C^2)##.

2. The Lindblad equation is obtained by averaging ##\widehat\rho=\psi\psi^*## over the realizations of the process for ##\psi##. That's why the PDP is called an unraveling of the Lindblad equation.
 
Last edited:
I have been reading about unravelling the Lindblad quantum master equation for a while but I still do not have a firm grasp on the concept. My first question was why the word unravelling is used here as opposed to solving the equation? The Theory of Open Quantum Systems shows that the proof of the unravelling is achieved by differentiating the covariance matrix and showing the equation of motion for this matrix gives the Lindblad form, so is this equivalent to when you say:
A. Neumaier said:
2. The Lindblad equation is obtained by averaging ρ=ψψ∗\rho=\psi\psi^* over the measurement results. That's why the PDP is called an unraveling of the Lindblad equation.
 
Raptor112 said:
I have been reading about unravelling the Lindblad quantum master equation for a while but I still do not have a firm grasp on the concept. My first question was why the word unravelling is used here as opposed to solving the equation? The Theory of Open Quantum Systems shows that the proof of the unravelling is achieved by differentiating the covariance matrix and showing the equation of motion for this matrix gives the Lindblad form, so is this equivalent to when you say:
When you cite something involving formulas with the quote button you need to edit the cited result to get the formulas correctly rendered! (If you cite the whole post with the reply button, this bug is absent.)

Taking the expectation over the classical realizations is the ''raveling''; undoing this is therefore called ''unraveling''. Unraveling is not a unique procedure since it depends on the details how the system is measured, while the (raveled) Lindblad equation is fairly independent of this.

Solving the equations is a completely different matter - it means obtaining an explicit (possibly approximate) form of the solution ##\rho(t)## or ##\psi(t)##.
 
Last edited:
A. Neumaier said:
Taking the expectation over the classical realizations is the ''raveling''
What woul be the step by step process of averaging the solutions(##\rho##) over all classical realizations(measurement results) as I seem to be having diffuclty grasping the concept of unravelling.

How would you actually average the density matrix over the measurements?
 
Raptor112 said:
What would be the step by step process of averaging the solutions(##\rho##) over all classical realizations(measurement results) as I seem to be having diffuclty grasping the concept of unravelling.

How would you actually average the density matrix over the measurements?
Not at all. One inserts the stochastic differential equation for ##\psi## into ##(\psi\psi^*)^. =\dot\psi\psi^*+\psi\dot\psi^*##, then takes classical expectations to get a differential equation for ##\rho=\langle\psi\psi^*\rangle##. This is the raveling process and gives a Lindblad equation. Conversely, to unravel a Lindblad equation one must guess the form of the stochastic process for ##\psi## and then show that raveling recovers the Lindblad equation. If you need further guidance, start doing this until you get stuck and then ask for further hints. Note that only one of the classical trajectories is actually realized through a continuous measurement of a single system; all others are fictitious in the sense in which Gibbs had introduced the concept of an ensemble.
 
Last edited:
  • Like
Likes   Reactions: Raptor112
Thanks a lot for that!

So does that mean when we actually solve(numerically or exactly) a Stochastic Schrödinger Equation to get the wavefunction, and then produce the density matrix we are actually solving the Lindblad equation?
A. Neumaier said:
Conversely, to unravel a Lindblad equation one must guess the form of the stochastic process for ψ\psi and then show that raveling recovers the Lindblad equation.
 
Raptor112 said:
So does that mean when we actually solve(numerically or exactly) a Stochastic Schrödinger Equation to get the wavefunction, and then produce the density matrix we are actually solving the Lindblad equation?
If we solve the SSE numerically and then average ##\psi\psi^*## [not ##\psi^*\psi## as I had mistakenly written before, since this equals 1] over many realizations we get a good approximation to the density matrix. This is called the Monte Carlo wave function method, and is very useful when the dimension of the density matrix is large.

But solving an SSE exactly is usually significantly more diffcult than solving the corresponding Lindblad equation exactly.
 
  • #10
So the answer to my question is yes?
 
  • #11
Raptor112 said:
So the answer to my question is yes?
yes, in the sense I indicated. But if you only make one simulation and form ##\psi\psi^*## you don't get a good approximation of ##\rho##, though. The accuracy goes only like ##O(N^{-1/2})##, as in all statistical methods.
 
Last edited:
  • Like
Likes   Reactions: Raptor112

Similar threads

  • · Replies 212 ·
8
Replies
212
Views
29K
  • · Replies 2 ·
Replies
2
Views
2K
  • · Replies 2 ·
Replies
2
Views
1K
  • · Replies 0 ·
Replies
0
Views
1K
  • · Replies 1 ·
Replies
1
Views
1K
  • · Replies 1 ·
Replies
1
Views
2K
  • · Replies 1 ·
Replies
1
Views
2K
  • · Replies 15 ·
Replies
15
Views
2K
  • · Replies 1 ·
Replies
1
Views
2K
  • · Replies 1 ·
Replies
1
Views
2K