Long Division and Remainder Theorem

Click For Summary

Homework Help Overview

The discussion revolves around the application of long division and the Remainder Theorem in polynomial functions. The original poster presents a polynomial function, ƒ(x) = -4x³ + 6x² + 4, and seeks to express it in the form ƒ(x) = (x - k)q(x) + r, where k is a specific value involving a square root.

Discussion Character

  • Exploratory, Assumption checking, Problem interpretation

Approaches and Questions Raised

  • The original poster attempts to perform polynomial long division but expresses confusion about handling the coefficients and signs. They question how to proceed after canceling terms and mention the Remainder Theorem, indicating they have calculated a remainder of 0.

Discussion Status

Participants are engaged in clarifying the steps of long division and discussing the implications of the Remainder Theorem. Some suggest alternative methods, such as synthetic division, to simplify the process. There is no explicit consensus on the approach to take, but guidance has been offered regarding the handling of coefficients and signs.

Contextual Notes

The original poster has provided attachments to illustrate their work, which include attempts at long division and calculations related to the Remainder Theorem. There are indications of potential errors in notation and setup that are being discussed among participants.

FritoTaco
Messages
132
Reaction score
23
NO TEMPLATE BECAUSE MOVED FROM ANOTHER FORUM

Hello,

I've been trying to figure out how it works for complicated problems, I know how to use long division, but I'm not understanding how this process is done for a problem like I have.

Instructions: Write the function in the form ƒ(x) = (x - k)q(x) + r for the given value of k, and demonstrate that ƒ(k) = r

Problem: ƒ(x) = -4x³ + 6x² + 4,
k = 1 - √3 <--- when plugging in q in divisor, signs change as you can see in my picture.​

My Work:
So as you can see from my first attached file, I knew that if I wanted to cancel out 4x³ in the dividend, I would multiply 4x³ on top (quotient) with -1 (divisor). But I also now have to multiply 4x³ with √3. I don't know how to answer it? That's where my question mark is.

In my second attachment, you can see I put what I think is right. Then I drop down the 6x² because that's what you do in long division. So the 4x³ cancels out, but then I have two different degrees in the next part. I don't think I can do anything with that.

Another thing is that you've probably read the "Remainder Theorem in the question, I've already done that here so that's fine. I get a remainder of 0. This is the remainder I should get when I long divide.

Remainder Theorem
ƒ(1 - √3) = -4(1 - √3)³ + 6(1 - √3)² + 12(1 - √3) + 4
Solve: equals 0, so remainder is 0.

Then, for the answer, it's asking to put into form of, ƒ(x) = (x - k)q(x) + r. I already have (x - k) which is the (-1 + √3), I would multiply that with q(x), which is what I'm stuck on for getting the quotient in long division. Lastly, I would add the remainder (r) which there is none.
 

Attachments

  • IMG_0015 (1).JPG
    IMG_0015 (1).JPG
    25 KB · Views: 559
  • IMG_0016.JPG
    IMG_0016.JPG
    46.7 KB · Views: 517
Last edited by a moderator:
Physics news on Phys.org
FritoTaco said:
NO TEMPLATE BECAUSE MOVED FROM ANOTHER FORUM

Hello,

I've been trying to figure out how it works for complicated problems, I know how to use long division, but I'm not understanding how this process is done for a problem like I have.

Instructions: Write the function in the form ƒ(x) = (x - k)q(x) + r for the given value of k, and demonstrate that ƒ(k) = r

Problem: ƒ(x) = -4x³ + 6x² + 4,
k = 1 - √3 <--- when plugging in q in divisor, signs change as you can see in my picture.​

My Work:
So as you can see from my first attached file, I knew that if I wanted to cancel out 4x³ in the dividend, I would multiply 4x³ on top (quotient) with -1 (divisor). But I also now have to multiply 4x³ with √3. I don't know how to answer it? That's where my question mark is.

In my second attachment, you can see I put what I think is right. Then I drop down the 6x² because that's what you do in long division. So the 4x³ cancels out, but then I have two different degrees in the next part. I don't think I can do anything with that.

Another thing is that you've probably read the "Remainder Theorem in the question, I've already done that here so that's fine. I get a remainder of 0. This is the remainder I should get when I long divide.

Remainder Theorem
ƒ(1 - √3) = -4(1 - √3)³ + 6(1 - √3)² + 12(1 - √3) + 4
Solve: equals 0, so remainder is 0.

Then, for the answer, it's asking to put into form of, ƒ(x) = (x - k)q(x) + r. I already have (x - k) which is the (-1 + √3), I would multiply that with q(x), which is what I'm stuck on for getting the quotient in long division. Lastly, I would add the remainder (r) which there is none.
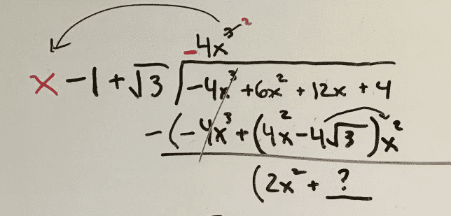
A screen shot of your 2nd division attempt:
upload_2016-9-14_21-30-23.png


You need to divide by x - k, which in this case is ##\ x-1+\sqrt{3\,}\ .\ ## You left out the ##\ x\ .##
 
  • Like
Likes   Reactions: FritoTaco
I think I know what you're saying but here is what I have so far.
 

Attachments

  • IMG_0042.JPG
    IMG_0042.JPG
    38.6 KB · Views: 463
FritoTaco said:
I think I know what you're saying but here is what I have so far.
https://www.physicsforums.com/attachments/105992
upload_2016-9-15_11-29-3.png

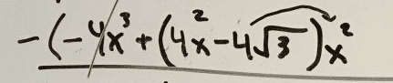
You have unbalanced parentheses and an x2 in the wrong place, or an extra x2.
upload_2016-9-15_11-29-53.png

I suggest you leave the coefficient of x2 intact, that is to say, write the above line as:

##\ -(-4x^3+(4-4\sqrt{3\,})x^2)\ ##

With long division, keeping track of all those signs gets to be a pain. Do you know synthetic division ?
 
Last edited:
  • Like
Likes   Reactions: FritoTaco
Haha, it's funny how you mention synthetic division just now. I asked my professor today where I left off with you and he said to use synthetic division. Hey, thank you very much for your help, I do appreciate it, it helped me understand more.
 

Attachments

  • IMG_0045.JPG
    IMG_0045.JPG
    38.8 KB · Views: 678
FritoTaco said:
Haha, it's funny how you mention synthetic division just now. I asked my professor today where I left off with you and he said to use synthetic division. Hey, thank you very much for your help, I do appreciate it, it helped me understand more.
You are welcome, and thanks for posting your final result. I'll display the final image below:
img_0045-jpg.106002.jpg
 

Similar threads

  • · Replies 2 ·
Replies
2
Views
1K
Replies
4
Views
2K
  • · Replies 3 ·
Replies
3
Views
2K
Replies
9
Views
3K
  • · Replies 4 ·
Replies
4
Views
2K
  • · Replies 3 ·
Replies
3
Views
1K
  • · Replies 15 ·
Replies
15
Views
3K
  • · Replies 1 ·
Replies
1
Views
2K
  • · Replies 10 ·
Replies
10
Views
2K
  • · Replies 7 ·
Replies
7
Views
3K