Lopsided display Formula and Unbalanced Delimiters

  • Context: MHB 
  • Thread starter Thread starter Opalg
  • Start date Start date
  • Tags Tags
    Formula
Click For Summary

Discussion Overview

The discussion revolves around the display issues of a mathematical formula on a forum, specifically focusing on the appearance of unbalanced delimiters when using MathJax. Participants explore whether this issue is browser-specific, related to the forum's implementation of MathJax, or influenced by external factors such as Cloudflare.

Discussion Character

  • Technical explanation, Debate/contested, Meta-discussion

Main Points Raised

  • MarkFL presents a formula that displays with unbalanced delimiters in various browsers and questions if it is a browser issue.
  • Several participants confirm experiencing the same display issue across multiple browsers, suggesting it may be related to Apple Mac systems.
  • One participant mentions that the formula displays correctly in a TeX program, indicating a potential issue with MathJax on the forum.
  • There is a suggestion to test the formula on another site using MathJax to determine if the issue is specific to the forum's implementation.
  • Participants discuss the possibility of recent changes made to the site, including the addition of advertising, as a potential cause of the display issue.
  • There are mentions of CSS modifications related to MathJax that might be affecting the display of brackets.
  • Some participants propose isolating the problem by checking different computers or internet providers to see if the issue persists.
  • Cloudflare is discussed as a potential factor causing issues, with suggestions to disable it to test if the display problem continues.

Areas of Agreement / Disagreement

Participants generally agree that the display issue is not isolated to a single browser and may be related to the forum's implementation of MathJax or external factors like Cloudflare. However, there is no consensus on the exact cause or solution, and multiple competing views remain regarding the source of the problem.

Contextual Notes

Limitations include uncertainty about the interaction between MathJax and different operating systems or configurations, as well as the unresolved nature of the CSS modifications mentioned.

Opalg
Gold Member
MHB
Messages
2,778
Reaction score
13
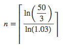
A comment by MarkFL in a https://mathhelpboards.com/pre-algebra-algebra-2/how-many-times-do-i-have-increase-3-a-24655.html#post110181 includes this formula:

$$n=\left\lceil\frac{\ln\left(\dfrac{50}{3}\right)}{\ln(1.03)}\right\rceil$$

On my browser, that formula displays in a strange way:

https://www.physicsforums.com/attachments/8304._xfImport
Is that a quirk of my browser, or do other people get the same unbalanced delimiters?

If I replace the ceiling delimiters by brackets then the problem goes away, like this:

$$n=\left[\frac{\ln\left(\dfrac{50}{3}\right)}{\ln(1.03)}\right]$$

An alternative solution (which looks much neater to me) is not to insist that the inner fraction should be in displaystyle:

$$n=\left\lceil\frac{\ln\left(\frac{50}{3}\right)}{\ln(1.03)}\right\rceil$$
 

Attachments

  • Screen Shot 2018-08-04 at 19.02.22.png
    Screen Shot 2018-08-04 at 19.02.22.png
    1.3 KB · Views: 181
Physics news on Phys.org
Using Firefox, I see:

View attachment 8305

edit: I see the same using Chrome, Edge, and Vivaldi.
 

Attachments

  • mhb_ceil.png
    mhb_ceil.png
    2.1 KB · Views: 160
I get the same lopsided display with Safari, Firefox, Chrome and Opera. Maybe it's an Apple Mac problem?
 
Opalg said:
I get the same lopsided display with Safari, Firefox, Chrome and Opera. Maybe it's an Apple Mac problem?

I've never owned or even used an Apple product, so I would only be able to guess about that. :)
 
This could be my fault. I've been experiment with adding advertising to the site today to help pay for server costs. I just removed something from the postbit location. Do you still notice the same problem?
 
Jameson said:
This could be my fault. I've been experiment with adding advertising to the site today to help pay for server costs. I just removed something from the postbit location. Do you still notice the same problem?
I'm still getting the same lopsided display. But if I enter the same formula in a file using the TeX program (TeXShop) on my computer then it displays correctly. So it seems that the problem has something to do with the way the Mac interacts with MathJax.
 
Opalg said:
I'm still getting the same lopsided display. But if I enter the same formula in a file using the TeX program (TeXShop) on my computer then it displays correctly. So it seems that the problem has something to do with the way the Mac interacts with MathJax.

Can you try it on another site that uses MathJax to ensure the issue is MathJax related in general rather than MHB's implementation of MathJax? You can test it here:

MathJax Live Demo
 
Opalg said:
I get the same lopsided display with Safari, Firefox, Chrome and Opera. Maybe it's an Apple Mac problem?
I see the same thing that you see. I'm using Apple Mac too.
 
MarkFL said:
Can you try it on another site that uses MathJax to ensure the issue is MathJax related in general rather than MHB's implementation of MathJax? You can test it here:

MathJax Live Demo
It displays correctly on the Live Demo, but still not in MHB.
 
  • #10
I seem to recall adding some CSS regarding one or more bracketing symbols in MathJax, but cloudflare now prevents me from accessing the templates so another admin will have to address this.
 
  • #11
MarkFL said:
I seem to recall adding some CSS regarding one or more bracketing symbols in MathJax, but cloudflare now prevents me from accessing the templates so another admin will have to address this.

Mark, have you tried logging into another Admin account to test if it would work then? If I create a dummy Admin account is it worth a shot?
 
  • #12
Jameson said:
Mark, have you tried logging into another Admin account to test if it would work then? If I create a dummy Admin account is it worth a shot?

I tried using anemone's account, and was still locked out. You'd have to search through the "additional.css" template to find any MathJax specific CSS I added years ago. You should find some selectors specific to brackets, I think.
 
  • #13
Jameson said:
I've been experiment with adding advertising to the site today to help pay for server costs.

What is the cost of this? If you're able to share.
 
  • #14
Joppy said:
What is the cost of this? If you're able to share.

Gladly. I'm thinking about opening this topic up site wide to figure out ways to make the site pay for itself.

Our server costs roughly \$55 a month. Domain registration is \$20 per year. Other random coding costs can range from \$20-\$500 but those are rare and not what I would consider part of operating costs. In my opinion once we have enough money to keep the site running each money I can disable ads until the next month, or do it in bigger batches.
 
  • #15
MarkFL said:
I tried using anemone's account, and was still locked out. You'd have to search through the "additional.css" template to find any MathJax specific CSS I added years ago. You should find some selectors specific to brackets, I think.

It seems to me that we should try to get to the bottom of this.
First step, I think, is to try to confirm/isolate where the problem is.
Apparent candidates are:
  1. Something unknown in your local configuration. Can you reproduce from a different computer?
  2. Or when using a different provider?
  3. Cloudflare. Can we somehow confirm that Cloudflare is an issue?
 
  • #16
I like Serena said:
It seems to me that we should try to get to the bottom of this.
First step, I think, is to try to confirm/isolate where the problem is.
Apparent candidates are:
  1. Something unknown in your local configuration. Can you reproduce from a different computer?
  2. Or when using a different provider?
  3. Cloudflare. Can we somehow confirm that Cloudflare is an issue?

I have logged into his account from my computer and it works fine, so it seems to be isolated to his computer or his IP. Right now I am actually looking at competitors for Cloudflare that will actually offer support so maybe that will help.
 
  • #17
Jameson said:
I have logged into his account from my computer and it works fine, so it seems to be isolated to his computer or his IP. Right now I am actually looking at competitors for Cloudflare that will actually offer support so maybe that will help.

To be honest, I don't get how Cloudflare might be an issue, but perhaps I'm missing something.
As I see it, we just need all https (port 443) traffic to get through.
And maybe some http (port 80) traffic, if there are still some left-overs.
If both are properly passed through, it seems to me that we should be good - Cloudflare or not.
Can someone clarify how Cloudflare might be an issue?

Then again, as I said, I think we first need to isolate where the problem occurs before trying to understand how or why it happens.
 
  • #18
Ckoudflare (apparently) causes issues on other pages here for at least one other user. I guess the only way to be sure though would be to disable cloudflare, and then see if the issue persists. I have admin access on several other vB 4.2.x sites, which are not running cloudflare, and I have no such issues there.
 
  • #19
MarkFL said:
Ckoudflare (apparently) causes issues on other pages here for at least one other user. I guess the only way to be sure though would be to disable cloudflare, and then see if the issue persists. I have admin access on several other vB 4.2.x sites, which are not running cloudflare, and I have no such issues there.

I'd still like to know...
  • Can you reproduce from a different computer?
  • Can you reproduce when using a different provider?
If you have trouble verifying either of those, I might be able to set up a 'jumpbox', which should forward all https and http connections to MHB through my own connection.
 
  • #20
I like Serena said:
I'd still like to know...
  • Can you reproduce from a different computer?
  • Can you reproduce when using a different provider?
If you have trouble verifying either of those, I might be able to set up a 'jumpbox', which should forward all https and http connections to MHB through my own connection.

I don't have access to a different computer/provider. I think the simplest thing would be to just disable cloudflare and see what happens.
 

Similar threads

  • · Replies 5 ·
Replies
5
Views
2K
  • · Replies 15 ·
Replies
15
Views
25K
  • · Replies 3 ·
Replies
3
Views
3K
Replies
6
Views
2K
  • · Replies 0 ·
Replies
0
Views
6K
  • · Replies 2 ·
Replies
2
Views
2K
  • · Replies 5 ·
Replies
5
Views
2K
  • · Replies 7 ·
Replies
7
Views
2K
  • · Replies 8 ·
Replies
8
Views
4K
  • · Replies 1 ·
Replies
1
Views
2K