Mastering the Sunrise Equation: Understanding Daytime Variations with Latitude

  • Thread starter Thread starter CaptainAntiFunn
  • Start date Start date
Click For Summary
SUMMARY

The discussion focuses on the Sunrise equation, specifically the calculation of the delta of total daytime based on latitude (gamma). Participants emphasize the importance of demonstrating initial problem-solving efforts before receiving assistance. The conversation highlights the need for clarity in presenting equations, suggesting the use of LaTeX for better formatting.

PREREQUISITES
  • Understanding of the Sunrise equation and its components
  • Familiarity with latitude (gamma) and its impact on daylight duration
  • Basic knowledge of LaTeX for formatting mathematical equations
  • Problem-solving skills in mathematical proofs
NEXT STEPS
  • Research the mathematical derivation of the Sunrise equation
  • Explore the effects of latitude on daylight duration
  • Learn how to format equations using LaTeX
  • Investigate related concepts such as solar declination and its impact on sunrise and sunset times
USEFUL FOR

Students studying astronomy, mathematicians interested in daylight calculations, and educators teaching concepts related to the Sunrise equation and its applications.

CaptainAntiFunn
Messages
1
Reaction score
0
Homework Statement
Sunrise equation help
Relevant Equations
Sunrise equation
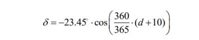
Hi, I need help with the Sunrise equation.
I need to proof the delta of total day time in a day, as seen in the formula.
gama is latitude.
Thank you for helping :)
 

Attachments

  • Screenshot_7.jpg
    Screenshot_7.jpg
    2.3 KB · Views: 126
  • Screenshot_9.jpg
    Screenshot_9.jpg
    2.2 KB · Views: 126
  • Screenshot_8.jpg
    Screenshot_8.jpg
    3.2 KB · Views: 163
Physics news on Phys.org
CaptainAntiFunn said:
Homework Statement:: Sunrise equation help
Relevant Equations:: Sunrise equation

Hi, I need help with the Sunrise equation.
I need to proof the delta of total day time in a day, as seen in the formula.
gama is latitude.
Thank you for helping :)
Welcome to PF. :smile:

YOu are required to show your best efforts to start the problem before we can offer tutorial assistance. Please show us how you are thinking of approaching this problem. Be sure to look at the LaTeX Guide link below the Edit window to see how to post equations here. Thanks.
 

Similar threads

  • · Replies 16 ·
Replies
16
Views
14K
  • · Replies 6 ·
Replies
6
Views
3K
  • · Replies 18 ·
Replies
18
Views
2K
  • · Replies 11 ·
Replies
11
Views
3K
  • · Replies 6 ·
Replies
6
Views
2K
  • · Replies 1 ·
Replies
1
Views
5K
  • · Replies 5 ·
Replies
5
Views
6K
  • · Replies 4 ·
Replies
4
Views
5K
  • · Replies 10 ·
Replies
10
Views
3K
  • · Replies 14 ·
Replies
14
Views
2K