Math Manipulation: Why Does l Approach Infinity?

  • Thread starter Thread starter sparkle123
  • Start date Start date
  • Tags Tags
    Manipulation
Click For Summary

Homework Help Overview

The discussion revolves around the behavior of a mathematical expression as a variable, denoted as l, approaches infinity. The original poster expresses confusion regarding the implications of this limit in relation to a specific mathematical context.

Discussion Character

  • Exploratory, Conceptual clarification, Mathematical reasoning

Approaches and Questions Raised

  • Participants explore the Taylor series expansion of the square root function and its implications for small values of r. There is an attempt to understand how the approximation improves as l increases, with specific examples provided to illustrate the concept.

Discussion Status

Some participants have offered insights into the mathematical reasoning behind the limit, discussing approximations and the behavior of functions as variables approach infinity. There is an ongoing exploration of the topic without a clear consensus on the original poster's question.

Contextual Notes

The original poster's question suggests a lack of understanding of the underlying assumptions or definitions related to the limit as l approaches infinity. The discussion includes references to specific mathematical approximations and their validity in certain contexts.

sparkle123
Messages
172
Reaction score
0
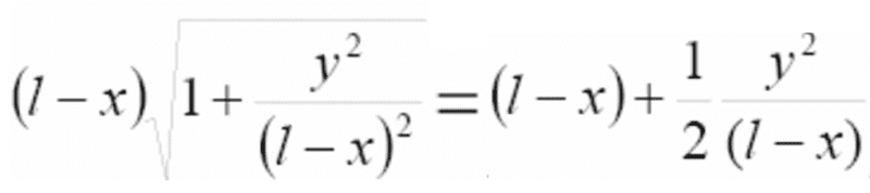
Why does
86072215.png

when l approaches infinity?
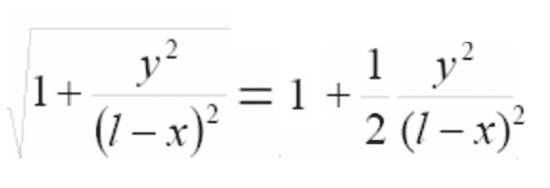
This would mean that
ef174ec5.png
but I don't understand why that would be true.
Thanks!
 
Physics news on Phys.org
sqrt(1+r)=1+r/2-r^2/8+... That's the Taylor series expansion of sqrt(1+r). If r is small, then 1+r/2 is a good approximation. And as l->infinity then y^2/(l-x)^2 becomes very small. The sides aren't equal for any finite l. But the approximation becomes better and better as l->infinity.
 
Try it: Calculate the square root of 1+x with smaller and smaller x-values. For example, √1.2=1.095, √1.02=1.0099, √1.002=1.000999...

[itex]\sqrt{1+x} \approx 1+x/2[/itex]

ehild
 
Thank you Dick and ehild! :)
 

Similar threads

Replies
11
Views
3K
  • · Replies 4 ·
Replies
4
Views
2K
  • · Replies 14 ·
Replies
14
Views
2K
  • · Replies 6 ·
Replies
6
Views
2K
  • · Replies 9 ·
Replies
9
Views
2K
Replies
9
Views
2K
  • · Replies 9 ·
Replies
9
Views
3K
  • · Replies 40 ·
2
Replies
40
Views
7K
  • · Replies 6 ·
Replies
6
Views
1K
  • · Replies 8 ·
Replies
8
Views
2K