Matlab function plotting. A continuous step function

Click For Summary
SUMMARY

The discussion centers around plotting a continuous step function in Matlab using a rational series of prime numbers divided by their corresponding W values. The user seeks clarification on the mathematical expressions provided, specifically the notation involving primes and the sequence definitions. Key elements include the prime series P = {2, 3, 5, 7, 11} and the sequence definitions a_n and w_n, which are not sufficiently explained for the user to proceed with their plotting task.

PREREQUISITES
  • Understanding of Matlab programming language
  • Familiarity with mathematical notation and sequences
  • Knowledge of prime numbers and their properties
  • Basic concepts of plotting functions in Matlab
NEXT STEPS
  • Research "Matlab plotting functions" for visualizing mathematical expressions
  • Learn about "Matlab sequences and series" to understand the definitions of a_n and w_n
  • Explore "Matlab prime number functions" to manipulate and utilize prime numbers effectively
  • Study "Matlab rational functions" for plotting rational expressions
USEFUL FOR

Matlab users, mathematicians, and educators looking to enhance their skills in plotting mathematical functions and understanding sequences involving prime numbers.

Atlas3
Gold Member
Messages
69
Reaction score
3
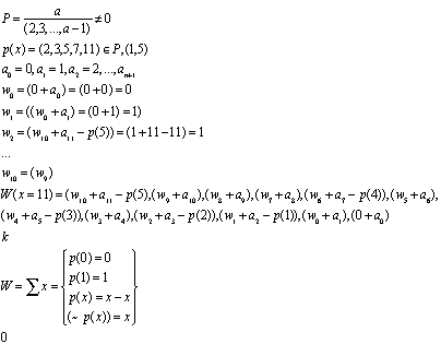
i could use a bit of tutelage with Matlab. I have a rather simple equation I would like to plot. I want to create a rational series of primes divided by their corresponding W value from the equation I have. P are primes 2,3,5,7,11,13... I am still working on this. Thanks
 

Attachments

  • Eqn9.gif
    Eqn9.gif
    3 KB · Views: 505
Physics news on Phys.org
None of what you posted makes much sense, from what I can see.
What is a "rational series of primes divided by their corresponding W value"?

The first few lines of what you posted are:
##P = \frac a {(2, 3, \dots, a - 1)} \ne 0## What does this mean?
##p(x) = (2, 3, 5, 7, 11) \in P, (1, 5)## I have no idea what this means, either.
##a_0 = 0, ~a_1 = 1, ~a_2 = 2, \dots, a_{n + 1}## Not enough information to figure out what ##a_{n + 1}## is supposed to be.
##w_0 = 0##
##w_1 = w_0 + a_1 = 1##
You lost me on ##w_2##, and things really go downhill from there.

Thread closed
 

Similar threads

  • · Replies 4 ·
Replies
4
Views
2K
  • · Replies 7 ·
Replies
7
Views
2K
  • · Replies 8 ·
Replies
8
Views
3K
  • · Replies 1 ·
Replies
1
Views
3K
  • · Replies 3 ·
Replies
3
Views
3K
  • · Replies 1 ·
Replies
1
Views
3K
  • · Replies 1 ·
Replies
1
Views
3K
  • · Replies 12 ·
Replies
12
Views
4K
  • · Replies 1 ·
Replies
1
Views
4K
  • · Replies 5 ·
Replies
5
Views
3K