Matrix Multiplication for Vertical Vectors

  • Context: High School 
  • Thread starter Thread starter Cosmossos
  • Start date Start date
  • Tags Tags
    Matrix Multiplication
Click For Summary

Discussion Overview

The discussion revolves around the multiplication of vertical vectors in matrix form, specifically addressing the challenges faced when attempting to multiply two 3x1 matrices. Participants explore the implications of transposing vectors and the context of integrals involving these vectors.

Discussion Character

  • Technical explanation
  • Debate/contested
  • Mathematical reasoning

Main Points Raised

  • One participant states that it is not possible to multiply two vertical vectors directly due to the requirement that the number of columns in the first matrix must equal the number of rows in the second.
  • Another participant mentions that transposing one of the vectors would allow for multiplication, resulting in an inner product.
  • There is a suggestion that transposing the first vector leads to a scalar product, while transposing the second vector results in a 3x3 matrix.
  • A participant expresses confusion about how to handle the integral involving these vectors, indicating a lack of clarity on the terms in the integrand.
  • Another participant notes that the operation of taking the dagger of the column vector also acts as a transpose and complex conjugation, leading to a row vector.

Areas of Agreement / Disagreement

Participants exhibit disagreement regarding the correct approach to multiplying the vectors and the implications of transposing them. The discussion remains unresolved with multiple competing views on how to proceed.

Contextual Notes

There are limitations in understanding the terms involved in the integral, and the discussion reflects uncertainty about the definitions and operations required for the multiplication of the vectors.

Cosmossos
Messages
100
Reaction score
0
Hello,
I came to some problems with multiplcation of some matrices.
how do I multply this:
x
y
z

with
a
b
c

those are vertical vectors.
thanks
 
Last edited:
Physics news on Phys.org
It's not possible to multiply those two vectors using matrix multiplication. To multiply two matrices, the number of columns of the first must equal the number of rows of the second. Both of your matrices are 3x1 and cannot therefore mutliply each other. If you were to transpose one, then you could multiply them.
 
...and that would be their inner product.
 
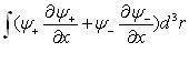
I know , that's why I didn't have a clue what to do. the problem is that I don't have a choice becasue I got integral like this:
untitled.JPG

And it's given in the question
 
...and that would be their inner product.

Only when you transpose the first vector. If you transpose the second vector you will get a 3x3 matrix.
 
@rochfor: true
@Cosmossos: you are forgetting the psi which is in between!
 
so? I can put the psi in the beginning ,no?

I got the same problem here:
untitled.JPG

How do I make it look like:
untitled1.JPG
?
It makes sense if I think about it as a scalar product, but I don't know how ...
 
Last edited:
Of course not, since then you end up with your first question about an undefined product! You can't evaluate an integral if you don't understand what the terms in the integrand mean.
 
so what do I do? Psi is a function after all Can you reread my question? I added some things
 
  • #10
Thanks I got it!
 
  • #11
I believe you are trying to take the deger of the column vector, don't forget that deger acts also as a transpose operator (and also complex conjugation), so [tex]\psi ^{+}[/tex] is a row vector with components [tex](\psi_{1}*, \psi_{2}*)[/tex]


P.S. Are you taking a course in the Technion?
 

Similar threads

  • · Replies 4 ·
Replies
4
Views
4K
  • · Replies 19 ·
Replies
19
Views
4K
  • · Replies 7 ·
Replies
7
Views
3K
  • · Replies 3 ·
Replies
3
Views
3K
  • · Replies 7 ·
Replies
7
Views
4K
  • · Replies 12 ·
Replies
12
Views
5K
  • · Replies 33 ·
2
Replies
33
Views
3K
  • · Replies 8 ·
Replies
8
Views
3K
  • · Replies 4 ·
Replies
4
Views
3K
  • · Replies 13 ·
Replies
13
Views
2K