Modeling piston/crank with position loop equation, excel plot

Click For Summary
SUMMARY

The discussion focuses on modeling the piston/crank system using position loop equations and analyzing the resulting graph in Excel. The user confirmed the use of angles θAC = 90 degrees and θAB = 36.8699 degrees to determine constant angular velocity, leading to a maximum angular velocity of -60 rad/s. The conversation highlights the importance of simplifying the model by reducing the number of variables and emphasizes the geometric relationship between the angles and the position of the piston.

PREREQUISITES
  • Understanding of angular velocity and its calculation
  • Familiarity with geometric relationships in mechanical systems
  • Knowledge of position, velocity, and acceleration loop equations
  • Proficiency in using Excel for graphing and data analysis
NEXT STEPS
  • Study the derivation of position loop equations in mechanical systems
  • Learn about the geometric conditions in kinematics, specifically the cosine law
  • Explore advanced Excel techniques for plotting and analyzing mechanical motion
  • Investigate the implications of angular velocity on system performance in piston/crank mechanisms
USEFUL FOR

Electrical engineering students, mechanical engineers, and anyone involved in the analysis and modeling of mechanical systems, particularly those focusing on kinematics and dynamics of piston/crank assemblies.

DarksideEE7
Messages
1
Reaction score
0

Homework Statement



attachment.php?attachmentid=27075&stc=1&d=1279734347.jpg


Homework Equations


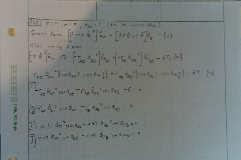
I would like to know if my work is correct. I thought that the graph would be a sinusoidal, but there is a small irregularity in the middle.

Am I correct in using θAC = 90 deg and θAB = 36.8699 deg in solving for the constant angular velocity?

I attached the scratch paper portion because that contains my geometry work for determining the θAB value beyond the symbolic part, and I'm unsure if that's correct.

I've set up the position, velocity, and acceleration loop equations symbolically as shown below.

What concerned me about using θAC = 90 deg is that it causes θ'AB = 0 due to the cos term. This ends up making the max angular velocity -60 rad/s...

The Attempt at a Solution



[PLAIN]http://img203.imageshack.us/img203/4069/piston2.jpg
attachment.php?attachmentid=27077&stc=1&d=1279734347.jpg


Scratch paper

[PLAIN]http://img827.imageshack.us/img827/9174/pistonscratchpaper.jpg

https://www.physicsforums.com/attachment.php?attachmentid=27079&stc=1&d=1279735274

[PLAIN]http://img408.imageshack.us/img408/2493/pistongraph.jpg


Thanks in advance for helping out a clueless EE student!

EDIT:

Resized images...can resize further if the res is too big for your monitor. Also fixed broken link. Still missing the scratch paper image because I'm away from home. I'll upload when I get home...but hopefully this should be enough for someone to check my basic equations and graph.
 

Attachments

  • Problem.jpg
    Problem.jpg
    30.8 KB · Views: 669
  • piston1.jpg
    piston1.jpg
    35.8 KB · Views: 447
  • piston2.jpg
    piston2.jpg
    21.1 KB · Views: 591
Last edited by a moderator:
Physics news on Phys.org
It's pretty difficult to follow your steps, so I cannot comment in detail on your work. I think we need not use so many variables (please excuse me if I misunderstand something). Two coordinates are enough: [tex]\phi[/tex] (angle between AC and AB) and x.

The only geometric condition relating the coordinates is: [tex]b^2=a^2+x^2-2axcos\phi[/tex]

Plug a=3 and b=5 in, then solve for x (x>0 as the origin is at A): [tex]x=\sqrt{9cos^2\phi +16}+3cos\phi[/tex]

Thus: [tex]\dot{x}=-(\frac{9sin\phi cos\phi}{\sqrt{9cos^2\phi +16}}+3sin\phi)\dot{\phi}[/tex]

From here, we can find the constant angular velocity of AC in the range [tex]0<\phi <\pi[/tex] and [tex]\dot{x}<180 in/s[/tex]. Then the rest is simple. The graph I obtained looks akin to yours.