Modelling the motion of a meteor

Click For Summary

Discussion Overview

The discussion centers on modeling the motion of a meteor as it travels through the atmosphere, focusing on factors such as mass loss upon impact, air resistance, and the dependence of air density on height. Participants explore numerical methods for solving the resulting differential equations related to the meteor's trajectory.

Discussion Character

  • Homework-related
  • Mathematical reasoning
  • Technical explanation
  • Debate/contested

Main Points Raised

  • One participant outlines the need to account for mass loss, air resistance, and varying air density in the modeling process, assuming constant gravitational field strength.
  • Another participant suggests a step-by-step numerical approach to solving the equations, recommending starting with simple time increments and improving the method later.
  • A different participant notes that Newtonian gravity with atmospheric drag cannot be solved analytically and recommends using a numerical solver, specifically mentioning MATLAB.
  • There is a request for clarification on the definitions of variables such as A(m) and m(t), indicating that more information is needed to provide assistance.
  • One participant challenges the formulation of the mass as a function of time, suggesting that it leads to a problematic differential equation due to its recursive nature.

Areas of Agreement / Disagreement

Participants express differing views on the formulation of the equations and the approach to solving them. There is no consensus on the correctness of the mass function or the best numerical method to use.

Contextual Notes

Participants highlight potential issues with the atmospheric density model and the recursive nature of the mass function, but these points remain unresolved.

PeterH
Messages
16
Reaction score
0
Hi!
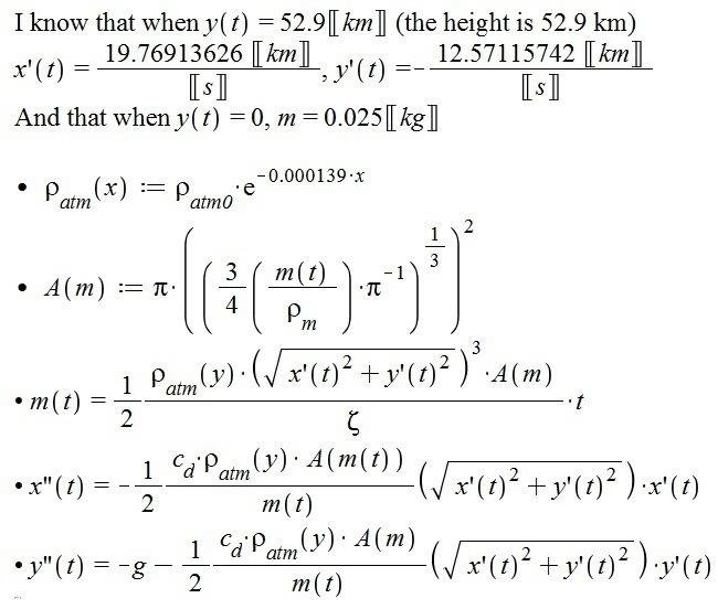
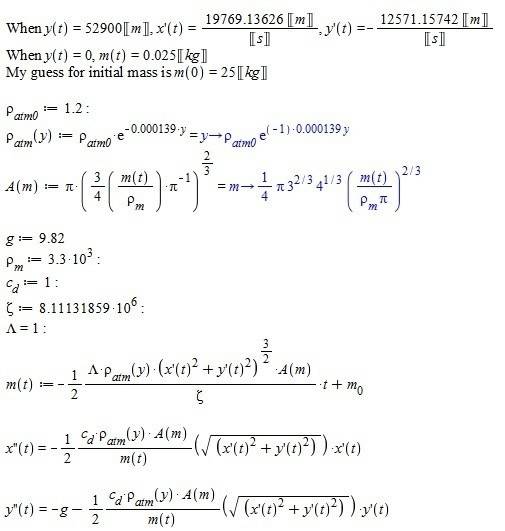
I am to model the motion of a meteor as it travels through the atmosphere, taking into account the loss of mass, which is 0.025 kg upon impact (height = 0). I also have to take into account the air resistance on the meteor, the fact that the air density is a function of height and that the orthographic projection of the meteor perpendicular the direction of movement (part of the air resistance equation) is a function of the mass of the meteor.
I assume that gravitational field strength is constant.

I have attached a picture of the equations I have been able to derive so far using standard formulas.

I have to solve the differential equations for x(t) and y(t) numerically, however, I fail to see how and therefore seek help.

This is for a very important school project and I'm running out of time, so I really need help. Even the smallest hint would be greatly appreciated!
 

Attachments

  • Mat.jpg
    Mat.jpg
    40.6 KB · Views: 527
Physics news on Phys.org
Simply calculate it step by step in small time steps?
You know the initial position and velocity at t=0, you can calculate the acceleration there and use this to estimate the position and velocity at t=0.01s (or whatever). Use the data there to estimate the values for t=0.02s and so on. There are better integration schemes, but start with the easiest one and improve that later if you like.

Your equation for A can be simplified a bit.

The atmospheric density does not follow an exponential law as the temperature depends on height, by the way.
 
Newtonian gravity with atmospheric drag is not solvable analytically. Use an ordinary differential equation numerical solver. I prefer MATLAB.

It would help if you tell us what exactly A(m), m(t), etc are. Also, what is that little squiggly variable for? Is it a constant?
 
Last edited:
This is everything
 

Attachments

  • Mat.jpg
    Mat.jpg
    28.3 KB · Views: 505
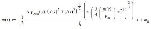
Mass as a function of time only
 

Attachments

  • Mass.jpg
    Mass.jpg
    5.6 KB · Views: 555
I don't think that equation for m(t) makes sense, it has m(t) at the right side as well, but multiplied by t and other factors. Looks like a wrong differential equation.
 

Similar threads

  • · Replies 3 ·
Replies
3
Views
3K
  • · Replies 1 ·
Replies
1
Views
2K
  • · Replies 1 ·
Replies
1
Views
1K
  • · Replies 15 ·
Replies
15
Views
2K
  • · Replies 3 ·
Replies
3
Views
2K
  • · Replies 8 ·
Replies
8
Views
3K
  • · Replies 1 ·
Replies
1
Views
5K
Replies
2
Views
2K
  • · Replies 2 ·
Replies
2
Views
2K
  • · Replies 47 ·
2
Replies
47
Views
5K