Modular form quick question translation algebra

Click For Summary
SUMMARY

The discussion focuses on the properties of modular forms, specifically the behavior of the function \( f(\tau) \) under transformations. It establishes that \( T_{p} f(\tau + 1) = T_{p} f(\tau) \) and \( f(p\tau + p) = f(p\tau) \) due to the periodicity of the exponential function \( e^{2\pi i n} = 1 \). The confusion arises regarding the transition from \( f\left(\frac{\tau + 1 + j}{p}\right) \) to \( f\left(\frac{\tau + j}{p}\right) \), particularly when \( p \) is not guaranteed to be an integer. The explanation provided clarifies that this is a standard substitution technique in summation processes.

PREREQUISITES
  • Understanding of modular forms and their properties
  • Familiarity with exponential functions in complex analysis
  • Knowledge of series expansions, specifically \( f(\tau) = \sum_{n=0}^{\infty} a_{n} e^{2 \pi i n \tau} \)
  • Basic grasp of substitution techniques in mathematical proofs
NEXT STEPS
  • Study the properties of modular forms in depth, focusing on \( M_k \) spaces
  • Learn about the implications of transformations in complex analysis
  • Explore substitution methods in mathematical proofs and their applications
  • Investigate the role of integer and non-integer parameters in modular transformations
USEFUL FOR

Mathematicians, students of number theory, and researchers interested in the properties of modular forms and their applications in complex analysis.

binbagsss
Messages
1,291
Reaction score
12
Please see attached.

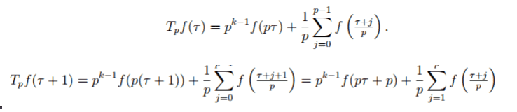
I am trying to show that

## T_{p} f (\tau + 1) = T_{p} f (\tau ) ##
##f(\tau) \in M_k ## and so can be written as a expansion as ##f(\tau)=\sum\limits^{\infty}_{0}a_{n}e^{2 \pi i n \tau } ##
##f(\tau + 1) = f(\tau) ## since ##e^{2\pi i n} = 1##
Similarly ##f(p\tau + p) = f(p\tau) ## for the same reason since ##np \in Z \geq 1 ## so the extra exponential term is ##1## again.

But I DONT UNDERSTAND how it goes from ##f(\frac{\tau + 1 + j}{p}) = f(\frac{\tau+j}{p}) ## , since it is not guarenteed that ##1/p## is an integer, I mean it only is when ##p=1## so ##e^{2 \pi n i (t+1+j)/p} = e^{ 2 \pi i n (t+j)/p}e^{2 \pi i n (1/p) } ## and ##e^{2 \pi i n (1/p) } ## is equal to ##1## only when ##p=1##. second equality of attached.

help please. thank you.
 

Attachments

  • hecke op.png
    hecke op.png
    9.5 KB · Views: 490
Physics news on Phys.org
It is simply a substitution of ##j \rightarrow i-1## and calling the ##i## afterwards ##j## again. (A usual business when dealing with sums.)
 
  • Like
Likes   Reactions: binbagsss

Similar threads

  • · Replies 3 ·
Replies
3
Views
2K
  • · Replies 7 ·
Replies
7
Views
3K
  • · Replies 2 ·
Replies
2
Views
2K
  • · Replies 21 ·
Replies
21
Views
2K
  • · Replies 3 ·
Replies
3
Views
2K
Replies
48
Views
6K
  • · Replies 26 ·
Replies
26
Views
2K
  • · Replies 5 ·
Replies
5
Views
3K
  • · Replies 6 ·
Replies
6
Views
2K
  • · Replies 31 ·
2
Replies
31
Views
3K