Momentum, Friction, and Velocity, OH MY

Click For Summary

Homework Help Overview

The discussion revolves around predicting the speed of three blocks at the moment they all achieve the same velocity, utilizing principles of momentum and friction. The participants are exploring the dynamics of the system, particularly how forces like friction and tension affect momentum conservation.

Discussion Character

  • Exploratory, Assumption checking, Conceptual clarification

Approaches and Questions Raised

  • Participants discuss the application of conservation of momentum, questioning whether it holds in the presence of friction and impulsive forces. There is an exploration of the role of kinetic friction and the implications of treating the blocks as a single system.

Discussion Status

The conversation is ongoing, with participants sharing their reasoning and attempting to reconcile their understanding of momentum conservation in the context of external forces. Some guidance has been offered regarding the conditions under which momentum is conserved, but no consensus has been reached.

Contextual Notes

There is mention of the assumption of a perfectly inelastic collision and the impulse approximation, which raises questions about the treatment of friction in the analysis. Participants express uncertainty about concepts not yet covered in their coursework.

rad5229
Messages
4
Reaction score
0

Homework Statement



Scan0001.jpg


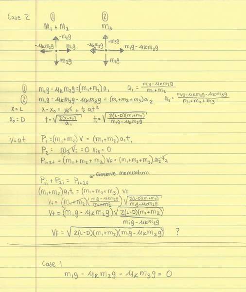
We are trying to predict the speed of all three blocks at the first instant they all have the same speed using only variables.

Homework Equations



fg = mg
fk = -μk(mg) = normal force
a = F/m
t = √(2Δx/a) derived from Δx = volt + 1/2at^2
v = vo + at
p = mv = m(at)
p1 + p2 = pf (convserve momentum)

The Attempt at a Solution



Scan0002.jpg


This is my work and final solution of Vf at the bottom, i treated m1 and m2 as one object then used conservation of momentum to find the final velocity. it just does not seem right, i would have thought it would involve the kinetic friction of m3 somehow. i am assuming this is a perfectly inelastic "collision". But when i think about it more, i am thinking they are all 3 at the same speed the instant the impulse of the 2 moving blocks cause the 3rd block to have a momentum value, thus why i used the conservation of momentum to solve for final velocity. Can anyone guide me as to whether or not my thinking is on the right track?
 
Physics news on Phys.org
All the blocks will have the same speed after the string has become taut again, and when the string becomes taut, an impulsive tension acts on the block, and so momentum will not be conserved.
 
okay i think i figured it out, or at least the answer seems a little more reasonable given that it involves block 3 now. here it is reworked with the answer at the bottom, would i still be able to use m1v1 + m2v2 = mfvf (final)? I'm sorry, we have not covered this in class yet, i read the book and am working through it on my own.

Scan0003.jpg
 
i just re-read your reply. you said momentum was not conserved? could you explain more, i thought momentum was always conserved, kinetic energy was not?
 
Momentum is only conserved when there is no external force acting, in this case, there is friction as well as an impulse (A large force acting in a small time interval) by the string on the last block.
 
if we were to assume the impulse approximation, wouldn't we just throw out the frictional force anyways since the impulse force would be much greater? i think that is how to use impulse approximation
 

Similar threads

  • · Replies 9 ·
Replies
9
Views
2K
Replies
10
Views
3K
  • · Replies 9 ·
Replies
9
Views
2K
  • · Replies 9 ·
Replies
9
Views
3K
Replies
27
Views
2K
  • · Replies 7 ·
Replies
7
Views
2K
Replies
1
Views
1K
Replies
26
Views
2K
  • · Replies 19 ·
Replies
19
Views
3K
Replies
10
Views
3K