Ω=0 and its magnitude for a unit pulse

  • Context: Undergrad 
  • Thread starter Thread starter PainterGuy
  • Start date Start date
  • Tags Tags
    Magnitude Pulse Unit
Click For Summary

Discussion Overview

The discussion revolves around finding the magnitude of a DC signal in a shifted unit pulse signal using two different methods: Fourier Transform (FT) and Laplace Transform. Participants explore the discrepancies in the results obtained from these methods and seek clarification on the source of the error.

Discussion Character

  • Technical explanation
  • Debate/contested
  • Mathematical reasoning

Main Points Raised

  • One participant reports a magnitude of 6.2832 for the DC signal using Method #1 (FT) and 6.5938 using Method #2 (Laplace), noting a discrepancy of 0.3106.
  • Another participant suggests that Method #1 produces the correct answer and identifies a mistake in Method #2, although they are unable to simplify it further after fixing the error.
  • A third participant confirms the correctness of Method #1 and provides a mathematical transformation for Method #2, indicating that the absolute value taken leads back to the result from Method #1.
  • One participant expresses a desire to avoid exponentials and asks if the trigonometric expression in Method #2 can be simplified further.
  • A later reply indicates that the participant was able to fix Method #2 and obtain the correct answer.

Areas of Agreement / Disagreement

Participants generally agree that Method #1 yields the correct answer, while there is disagreement regarding the accuracy of Method #2. The discussion remains unresolved concerning the simplification of the trigonometric expression and the nature of the error in Method #2.

Contextual Notes

Participants note that the limit as ω approaches 0 was not explicitly stated in every step, which may contribute to the confusion regarding the results.

PainterGuy
Messages
938
Reaction score
73
Hi,

I was trying to find the magnitude of DC signal in a shifted unit pulse signal. The unshifted pulse lasts from -π to π and then it is shifted by π duration.

In Method #1 I have used FT formula and ended up with magnitude of 6.2832 for DC signal, i.e. ω=0.

In Method #2 I have used Laplace transform to derive the FT by setting σ=0 and ended up with magnitude of 6.5938 for the DC signal, i.e. ω=0.

What is contributing toward the error of 6.5938-6.2832=0.3106?

Could you please help me with it? Thank you!

Method #1:
1588132344990.png


Finding magnitude of DC signal:
1588132415122.png
Method #2:
1588132532011.png


Finding magnitude of DC signal:
1588132584329.png
 

Attachments

  • 1588132494144.png
    1588132494144.png
    48 KB · Views: 368
Last edited:
Physics news on Phys.org
I think I was able to trace the problem. Method #1 produces the right answer.

There is a mistake Method #2. I have the step where the mistake occurred but even after fixing it, I couldn't simplify it any further. Could you please help me with it?

Please note that I didn't write lim_ω→0 with every step. Thank you

1588148305622.png
 
Yes, you got the right answer in method #1. For method #2 you have,$$
\frac{1}{s}-\frac{e^{2\pi s}}{s}\rightarrow \frac{1}{j\omega}-\frac{e^{2\pi j \omega}}{j\omega} =e^{j\pi \omega}(\frac{e^{-j\pi \omega}-e^{j\pi \omega}}{j\omega})=-e^{j\pi \omega}\frac{2\sin(\pi \omega)}{\omega}$$Taking the absolute value, you recover the answer from method #1
 
  • Like
Likes   Reactions: berkeman
Fred Wright said:
Yes, you got the right answer in method #1. For method #2 you have,$$
\frac{1}{s}-\frac{e^{2\pi s}}{s}\rightarrow \frac{1}{j\omega}-\frac{e^{2\pi j \omega}}{j\omega} =e^{j\pi \omega}(\frac{e^{-j\pi \omega}-e^{j\pi \omega}}{j\omega})=-e^{j\pi \omega}\frac{2\sin(\pi \omega)}{\omega}$$Taking the absolute value, you recover the answer from method #1

Thank you!

But I was purposely trying to avoid exponentials. Is there any way to simplify the trigonometric expression in Method #2 further?
 
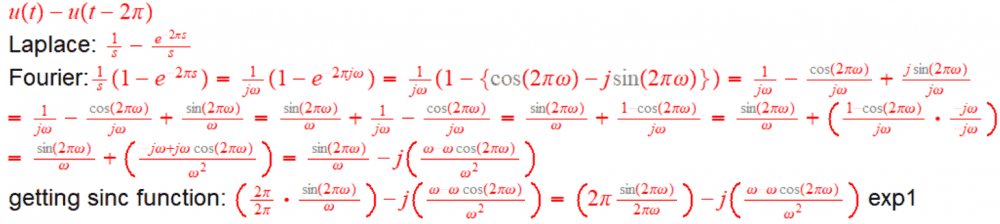
Hi,

I was able to fix Method #2 and got the correct answer.

1588381138990.png
 

Similar threads

  • · Replies 4 ·
Replies
4
Views
3K
  • · Replies 5 ·
Replies
5
Views
3K
  • · Replies 7 ·
Replies
7
Views
5K
Replies
1
Views
1K
  • · Replies 13 ·
Replies
13
Views
3K
  • · Replies 6 ·
Replies
6
Views
4K
  • · Replies 5 ·
Replies
5
Views
5K
  • · Replies 2 ·
Replies
2
Views
2K
Replies
1
Views
2K
  • · Replies 0 ·
Replies
0
Views
3K