ODE of an electric circuit consisting of EMF source, inductor and capacitor

Click For Summary

Homework Help Overview

The discussion revolves around the ordinary differential equation (ODE) of an electric circuit that includes an electromotive force (EMF) source, an inductor, and a capacitor. Participants explore the implications of the circuit's behavior, particularly focusing on the nature of the solutions to the ODE and the relationship between the circuit components.

Discussion Character

  • Exploratory, Conceptual clarification, Mathematical reasoning

Approaches and Questions Raised

  • Participants examine the possibility of complex values for the variable ##r## in the context of oscillatory behavior. They discuss the general solution of the circuit's charge and its relation to natural frequency, questioning how to express this frequency in terms of the circuit components. There are inquiries about the conditions under which the solution remains real and the implications of complex coefficients.

Discussion Status

The discussion is ongoing, with participants providing insights and affirmations regarding the correctness of certain mathematical expressions. Some participants suggest exploring the relationship between the natural frequency and the circuit parameters, while others clarify the requirements for obtaining real solutions from complex expressions.

Contextual Notes

Participants note the absence of initial conditions for the circuit, which may affect the determination of constants in the general solution. There is also mention of the definitions of reactive impedance and the need to relate the natural frequency to the original differential equation.

songoku
Messages
2,514
Reaction score
395
Homework Statement
Please see below
Relevant Equations
Kirchhoff Voltage Law

Integration
1736687086902.png


(a)
$$\varepsilon (t)=V_L+V_C$$
$$\varepsilon (t)=L\frac{dI}{dt}+\frac{q(t)}{C}$$
$$\varepsilon (t)=L\frac{d^2 q}{dt}+\frac{q(t)}{C}$$

(b) taking ##q(t)=e^{rt}##,
$$0=L\frac{d^2 q}{dt}+\frac{q(t)}{C}$$
$$0=L.r^2 e^{rt}+\frac{e^{rt}}{C}$$
$$0=L.r^2+\frac{1}{C}$$
$$r^2=-\frac{1}{LC}$$

Is it possible for the value of ##r## to be complex number? Thanks
 
Physics news on Phys.org
Yes. It just means the circuit is oscillatory. Since there is no resistance it is also not dissipative and therefore has no real part.
 
  • Like
Likes   Reactions: DaveE, FactChecker and songoku
Orodruin said:
Yes. It just means the circuit is oscillatory. Since there is no resistance it is also not dissipative and therefore has no real part.
Ok, so ##r=\pm i\sqrt{\frac{1}{LC}}## and the general solution will be ##q(t)=a_1 e^{i\sqrt{\frac{1}{LC}}t}+a_2 e^{-i\sqrt{\frac{1}{LC}}t}## where ##a_1## and ##a_2## are constant.

Is this correct?

(c) I don't know to how relate ##\omega_o## to the equation in part (a). Is there any part of the equation actually contains ##\omega_o##?

Thanks
 
Yes it is correct. Appropriately assigning the constants will result in a real solution. You can also rewrite in terms of sines and cosines. The natural frequency should be evident from this.
 
  • Like
Likes   Reactions: songoku
Thank you very much Orodruin
 
  • Like
Likes   Reactions: berkeman
songoku said:
Is there any part of the equation actually contains ωo?
## q(t)=a_1 e^{i\sqrt{\frac{1}{LC}}t}+a_2 e^{-i\sqrt{\frac{1}{LC}}t} ## can be evaluated with Euler's formula ## e^{i \omega t}=cos(\omega t)+i sin(\omega t) ##. The natural frequency is then just the frequency that these sinusoids oscillate (repeat) at, ## \omega ## in this case.

In the original equations ## \omega ## is contained within the values ##L## and ##C##. Ask if you want to see how, or better, do it yourself.

Also as @Orodruin said, the values of ##a_1## and ##a_2## will be chosen so that the imaginary term is zero, since the charge on the capacitor has to be a real number.
 
  • Like
Likes   Reactions: songoku and berkeman
DaveE said:
## q(t)=a_1 e^{i\sqrt{\frac{1}{LC}}t}+a_2 e^{-i\sqrt{\frac{1}{LC}}t} ## can be evaluated with Euler's formula ## e^{i \omega t}=cos(\omega t)+i sin(\omega t) ##. The natural frequency is then just the frequency that these sinusoids oscillate (repeat) at, ## \omega ## in this case.

In the original equations ## \omega ## is contained within the values ##L## and ##C##. Ask if you want to see how, or better, do it yourself.
I learned a bit in physics about ##X_L## and ##X_C##

##\omega=\frac{X_L}{L}## and ##\omega=\frac{1}{CX_C}##. Is this what you meant?

DaveE said:
Also as @Orodruin said, the values of ##a_1## and ##a_2## will be chosen so that the imaginary term is zero, since the charge on the capacitor has to be a real number.
Expanding ##q(t)## using Euler, I think the only possibility to get real solution is when ##a_1=a_2##. Is this correct?

Thanks
 
songoku said:
Expanding ##q(t)## using Euler, I think the only possibility to get real solution is when ##a_1=a_2##. Is this correct?
Only if you impose both constants to be real. The general solution has complex coefficients and so a real solution requires ##a_2 = a_1^*##, which makes the full solution take the form ##z+z^* = 2{\rm Re}(z)## where ##z = a_1 e^{i\omega t}##. This is obviously real.
 
  • Like
Likes   Reactions: songoku
songoku said:
I learned a bit in physics about XL and XC

ω=XLL and ω=1CXC. Is this what you meant?
Not really. This is just a definition of reactive impedance. Which, BTW, lots of people like and use, except me. I prefer complex notation.

What I meant requires that you first answer the question what is the natural frequency ## \omega_o ## in your solution for ##q(t)##. Tell us, what is the frequency of oscillation of q(t) in terms of the values L & C. If you know that you can substitute backwards in the original DE for L & C.

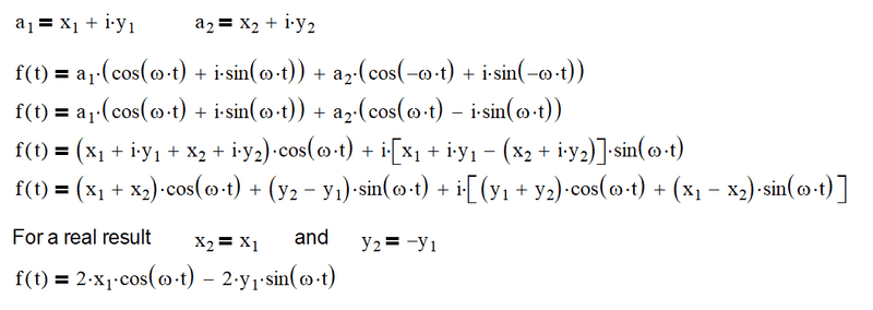
@Orodruin is correct, of course, the requirement for a real result is the complex conjugate, as shown below. This problem didn't specify the initial conditions of the circuit, which is fine, it's not required for the questions they asked. But in general, you will have to solve for ##a_1## and ##a_2## to match the initial conditions, which might result in complex values. These would be the initial charge on the capacitor, ##q(0)##, and the initial current in the inductor (##\left. \frac{dq}{dt} \right|_{t=0}##).

1736747125376.png
 
  • Like
Likes   Reactions: songoku
  • #10
Orodruin said:
Only if you impose both constants to be real. The general solution has complex coefficients and so a real solution requires ##a_2 = a_1^*##, which makes the full solution take the form ##z+z^* = 2{\rm Re}(z)## where ##z = a_1 e^{i\omega t}##. This is obviously real.
DaveE said:
@Orodruin is correct, of course, the requirement for a real result is the complex conjugate, as shown below. This problem didn't specify the initial conditions of the circuit, which is fine, it's not required for the questions they asked. But in general, you will have to solve for ##a_1## and ##a_2## to match the initial conditions, which might result in complex values. These would be the initial charge on the capacitor, ##q(0)##, and the initial current in the inductor (##\left. \frac{dq}{dt} \right|_{t=0}##).

View attachment 355774
Ah I see, they should be conjugate.

DaveE said:
What I meant requires that you first answer the question what is the natural frequency ## \omega_o ## in your solution for ##q(t)##. Tell us, what is the frequency of oscillation of q(t) in terms of the values L & C. If you know that you can substitute backwards in the original DE for L & C.
##\omega=\sqrt{\frac{1}{LC}}##

I am not sure how to subs it back to original equation. What should we put for ##q(t)##?

Thanks
 
  • #11
songoku said:
I am not sure how to subs it back to original equation. What should we put for q(t)?
Simple algebra, although I'm not sure how that really helps. But you asked, so:
## ε(t)=L\frac{d^2q}{dt}+\frac{q(t)}{C} \Rightarrow Cε(t)=LC\frac{d^2q}{dt}+q(t) \Rightarrow Cε(t)=\frac{1}{\omega_o^2}\frac{d^2q}{dt}+q(t)##

In general an undamped LC circuit can be characterized by ##L## & ##C##, which is good for describing how you make it. It can also be characterized by ##\omega_o = \frac{1}{\sqrt{LC}}##, the resonant frequency, and ## Z_o = \sqrt{\frac{L}{C}}##, the characteristic impedance, which is good for understanding how it behaves.

so: ## ε(t)=L\frac{d^2q}{dt}+\frac{q(t)}{C} \Leftrightarrow ε(t)=Z_o \omega_o (\frac{1}{\omega_o^2}\frac{d^2q}{dt}+ q(t))## It's all just algebra and some useful definitions, the physics is identical.
 
  • Like
Likes   Reactions: songoku
  • #12
songoku said:
I don't know to how relate ωo to the equation in part (a). Is there any part of the equation actually contains ωo?
It's just a matter of identifying/defining ##\omega_0## appropriately. Use Euler's formula to rewrite your solution:
\begin{align*}
q(t) &= a_1 e^{i\sqrt{\frac 1{LC}}t} + a_2 e^{-i\sqrt{\frac 1{LC}}t} \\
&= a_1 \left(\cos \sqrt{\tfrac 1{LC}}t + i\sin \sqrt{\tfrac 1{LC}}t\right) + a_2 \left(\cos \sqrt{\tfrac 1{LC}}t - i\sin \sqrt{\tfrac 1{LC}}t\right) \\
&= c_1 \cos \sqrt{\tfrac 1{LC}}t + c_2 \sin \sqrt{\tfrac 1{LC}}t
\end{align*} where ##c_1 = a_1 +a_2## and ##c_2=i(a_1-a_2)## are arbitrary constants. It should be apparent from this form of the solution that the angular frequency of oscillation is ##\omega_0 = \sqrt{1/LC}##.

Even simpler, just note that when you have ##\mathscr{E}=0##, you can write the differential equation as
$$\frac{d^2 q}{dt^2} + \frac{1}{LC} q = 0,$$ which is the ODE for simple harmonic motion, where the coefficient of ##q## is ##\omega_0^2##.
 
  • Like
Likes   Reactions: songoku
  • #13
Thank you very much for all the help and explanation Orodruin, DaveE, vela
 
  • Like
Likes   Reactions: DaveE

Similar threads

Replies
4
Views
2K
  • · Replies 12 ·
Replies
12
Views
3K
  • · Replies 3 ·
Replies
3
Views
2K
  • · Replies 16 ·
Replies
16
Views
2K
  • · Replies 22 ·
Replies
22
Views
3K
  • · Replies 3 ·
Replies
3
Views
2K
  • · Replies 18 ·
Replies
18
Views
3K
Replies
6
Views
1K
  • · Replies 1 ·
Replies
1
Views
1K
  • · Replies 5 ·
Replies
5
Views
4K