One way speed of light

  • Context: Undergrad 
  • Thread starter Thread starter HansH
  • Start date Start date
HansH
Messages
270
Reaction score
23
TL;DR
it seems to be generally accepted that lightspeed can only be measures as round trip speed, so not possible to measure lightspeed in 1 direction. So if that is true theoretically it could be possible that lightspeed is different in different directions. I think im can measure lightspeed in 1 direction however. So what goes wrong here?
Idea to measure 1 way lightspeed is to use 2 synchronized clocks and take into account the time dilation caused by moving the clock to the measuring position.

Suppose the speed of light in 1 direction is c1 and in the opposite direction it is c2.
I take 2 clocks that generate pulses. Both clocks are synchronized putting them beside eachother.
Next step is to move 1 clock to a position 1km away with a speed of 10m/s.
Based on that we kow the moving clock runs slower during the transport based on SRT can be easily calculated using the time dilation equation, see attachment. so based on 10meter per second time runs slower in the moving clock. so we can calculate the build up time difference between the 2 clocks as function of the actual speed of light in 1 direction.

Suppose one example where we have c in both directions. then for the 1 km distance where the clock moved with 10m/s we have a build up time difference between the 2 clocks of 6.661e=-14 s, while a light beam takes 3.33us to travel the 1km distance.
So based on that we can measure the 1 way lightspeed as 1000meters/(3.33us+6.661e-14s) assuming light travel at c. is light travels with a different speed in 1direction we measure the time and calculate back the 1 way speed of light using the time dilation formula plus the calculated time.

so if one states that measuring the speed of light in 1 direction is not possible, then what is wrong with my calculation?
 

Attachments

  • Image1.gif
    Image1.gif
    5.5 KB · Views: 9
  • Skeptical
Likes   Reactions: weirdoguy
Physics news on Phys.org
HansH said:
Idea to measure 1 way lightspeed is to use 2 synchronized clocks
Then you're not measuring the one-way speed of light. You're just reproducing your clock synchronization convention. Your process for moving one clock away once the two are set to the same time in the same place doesn't get rid of a clock synchronization convention; you're implicitly assuming one in your calculation, you just don't realize it.

In other words, what you are calling "the one-way speed of light" is not a physical thing; it's a convention. Of course the simplest, easiest, and most common convention is to assume that the one-way speed of light is isotropic (the same in all directions), which means that by convention it's the same as the two-way speed of light. That's the convention you are implicitly assuming. But there are other possible conventions (an infinite number of them).
 
  • Like
Likes   Reactions: javisot and FactChecker
HansH said:
Idea to measure 1 way lightspeed is to use 2 synchronized clocks
Synchronizing separated clocks is the problem.
HansH said:
and take into account the time dilation caused by moving the clock to the measuring position.
This is circular logic. The time dilation equations come from the experimental proof that the speed of light, measured by very carefully synchronized clocks, is always c. The experimental results were not what was expected and even those who performed careful experiments (Michelson and Morley) were reluctant to accept the results.
 
PeterDonis said:
Then you're not measuring the one-way speed of light. You're just reproducing your clock synchronization convention. Your process for moving one clock away once the two are set to the same time in the same place doesn't get rid of a clock synchronization convention; you're implicitly assuming one in your calculation, you just don't realize it.

In other words, what you are calling "the one-way speed of light" is not a physical thing; it's a convention. Of course the simplest, easiest, and most common convention is to assume that the one-way speed of light is isotropic (the same in all directions), which means that by convention it's the same as the two-way speed of light. That's the convention you are implicitly assuming. But there are other possible conventions (an infinite number of them).
no i don't think so. you can calculate a measured time as function of any lightspeed that could occur. the time is the sum of the distance traveled by the light during that time and taking ito account the amount of out of sync between the 2 clocks as function of that same unknown lightspeed. so that gives you a fixed relation between the measured time at the receiver clock related to the sync pulse and the actual 1 way speed of light i think.
 
  • Skeptical
Likes   Reactions: weirdoguy
FactChecker said:
Synchronizing separated clocks is the problem.
His attempt to get around that is to start both clocks in the same place, set them to the same time, then move one away and adjust its time based on calculating its time dilation relative to the first clock.

What he doesn't appear to realize is that that very calculation does imply a particular synchronization convention between spatially separated clocks--the Einstein synchronization convention of a standard SR inertial frame.
 
  • Like
Likes   Reactions: FactChecker
HansH said:
no i don't think so
You might not think so, but you're wrong.

See my response to @FactChecker in post #5 just now.

I strongly, strongly suggest that you reconsider your entire position. We have had umpteen PF threads on this topic in the past, and all of them have ended up one of two ways--either the OP eventually realizes they were mistaken (rare) or the thread gets closed because it's going around in circles (much more common) and often the OP ends up getting a warning (not every time, but not rare either). You're not going to find another category. Which of the ones above you end up in is your call.
 
  • Like
Likes   Reactions: Dale and javisot
I would apreciate if you analyze my reasoning instead of concluding it is wrong based on synchronization conventions. my reasoning is simple that you can directly calculate how much the moving clock falls behind as function of the valid speed of light. So i know that both clocks still give same synchronized time except for a small differnence of several orders of magnitude smaller than the effect you want to meassure. That difference you can exactly calculate but also you can make it as small as possible by reducing your moving clock speed. that goes into the right direction proportional with the square of the speed of the moving clock, so you can make it as small as you like making the effect always insignificant.
 
Last edited:
  • Skeptical
Likes   Reactions: Motore and weirdoguy
so why would you like to use an Einstein convention if you are already able to calculate exactly howe much out of sync occurs due the the well known SRT time dilation formula?
 
  • Skeptical
Likes   Reactions: weirdoguy
HansH said:
TL;DR: it seems to be generally accepted that lightspeed can only be measures as round trip speed, so not possible to measure lightspeed in 1 direction.
If you emit a pulse, you can never (and by "never" we mean a fundamental impossibility) anticipate its arrival at any point to detect it and measure it yourself. If you decide to place a detector at that point and send a return signal to report the light's arrival, that's a return journey.
 
  • #10
no, see my calculation. according to SRt you can calculate time dilation as function of both v and c. this time dilation during the traveling distance for the clock to arrive at the measuring position you have exact values of the amount of out of sync beteen the 2 clocks as function of a valid c value and the speed v of the moving clock. so finally you get 1 equation where you can solve c (and if you accept tolecances of 7 digits behind the comma you can directly measure instead without compensation)
 
  • Sad
Likes   Reactions: weirdoguy
  • #11
so you rely on the calculated out of sync beteeen the 2 clocks and therefor you can rely on the measurement on the receiver side.
 
  • Skeptical
Likes   Reactions: weirdoguy
  • #12
HansH said:
I would apreciate if you analyze my reasoning instead of concluding it is wrong based on synchronization conventions
He already did. You just ignored it.

Your reasoning is wrong because you have already forced an outcome by your choice of synchronization convention.

HansH said:
my reasoning is simple that you can directly calculate how much the moving clock falls behind as function of the valid speed of light
How? Exactly. Write down the precise formula with the variables for the measured values and the calculation to obtain either Riechenbach’s ##\epsilon## or Anderson’s ##\kappa## from the experiment

HansH said:
no, see my calculation. according to SRt you can calculate time dilation as function of both v and c.
None of the usual SR formulas contain either ##\epsilon## or ##\kappa##. So they cannot be used to determine the one way speed of light.
 
Last edited:
  • Like
Likes   Reactions: PeterDonis
  • #13
HansH said:
no, see my calculation. according to SRt you can calculate time dilation as function of both v and c. this time dilation during the traveling distance for the clock to arrive at the measuring position you have exact values of the amount of out of sync beteen the 2 clocks as function of a valid c value and the speed v of the moving clock. so finally you get 1 equation where you can solve c (and if you accept tolecances of 7 digits behind the comma you can directly measure instead without compensation)
You're simply imposing it, without measuring anything. The problem is not imposing that the one-way speed of light is c, the problem is measuring it.
 
  • Like
Likes   Reactions: Dale
  • #14
HansH said:
According to SRt you can calculate time dilation as function of both v and c.
you can, but you’re using the time dilation formula in the calculation…. and the derivation of that formula includes the assumption that the one-way speed of light is equal to the observed two-way speed.
So the logic is unfixably circular.
 
  • Like
Likes   Reactions: raagamuffin, javisot, Ibix and 2 others
  • #15
HansH said:
my reasoning is simple that you can directly calculate how much the moving clock falls behind as function of the valid speed of light.
How much it falls behind depends on your synchronisation convention, because the "time dilation" formula aquires an anisotropic term when you use anisotropic light speed, the size of which depends on the degree of anisotropy. You will find that the extra/reduced lag from this term exactly cancels the reduced/extra flight time due to the anisotropy.

There is no way around this. Ultimately, you cannot measure the one way speed of light for the same reason you cannot measure which way is right and which way is left. It depends on the orientation of the observer - it's conventional.
 
  • Like
Likes   Reactions: Motore and Dale
  • #16
Nugatory said:
you can, but you’re using the time dilation formula in the calculation…. and the derivation of that formula includes the assumption that the one-way speed of light is equal to the observed two-way speed.
So the logic is unfixably circular.
no I don't think so because i only calculate the time dilation in the direction that the light travels from source clock to destination clock and I measure the the time it takes to go from 1 clock to the other because I use the syncpulses of both clocks to synchronize (as i know how much out of sync they are as function of the lightspeed in that direction)
 
  • Skeptical
Likes   Reactions: weirdoguy
  • #17
HansH said:
no I don't think so
You are wrong. Do the maths, don't wave your hands and think you're sure you know how it will work out. Or, equivalently, draw a Minkowski diagram and apply a shear transform to the coordinate system, since that's all you're doing by picking an anisotropic speed of light.
 
  • Like
Likes   Reactions: Dale
  • #18
Ibix said:
How much it falls behind depends on your synchronisation convention,
The synchronisation is done when both clocks are together and I know exactly howe much the go out of sync due to the traveling. for example at c=100000km/s and clocks are 1 km apart when the second clock travel to that position at 10m/s the amount of out of sync is 5.107e-13 s while light takes 10 us so at the second clock i see a sync pulse and then 10 us later I see the light pulse coming so the effect of the out of sync is then 7 digits to the right.
so why should i take a different convention for synchronisation when i already know the difference is 5.107e-13 s ?
 
  • #19
HansH said:
I know exactly howe much the go out of sync due to the traveling.
How? What formula did you use to calculate this?
 
  • #20
Ibix said:
You are wrong. Do the maths, don't wave your hands and think you're sure you know how it will work out. Or, equivalently, draw a Minkowski diagram and apply a shear transform to the coordinate system, since that's all you're doing by picking an anisotropic speed of light.
 

Attachments

  • Image3.gif
    Image3.gif
    2.3 KB · Views: 13
  • Skeptical
Likes   Reactions: weirdoguy
  • #21
So you are using the standard time dilation formula that directly assumes an isotropic speed of light. Thus you will measure an isotropic speed of light - as has been pointed out several times already on this thread.
 
  • Like
Likes   Reactions: javisot and Dale
  • #22
Ibix said:
How? What formula did you use to calculate this?
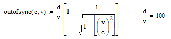
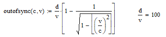
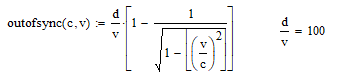
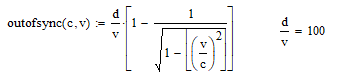
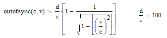
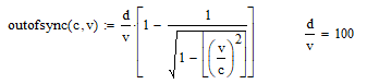
this equation attached. d is the distance the light travels for example 1km. v is the speed of the moving clock to the other position. so that takes a time d/v during that time a difference in time builds up between both clocks . th fist clock goes on with a factor 1 and the other clocj goes on with a factor gamma. so that leads to the amount of out of sync between both clocks.
 

Attachments

  • Image3.gif
    Image3.gif
    2.3 KB · Views: 12
  • Skeptical
Likes   Reactions: weirdoguy
  • #23
HansH said:
this equation attached. d is the distance the light travels for example 1km. v is the speed of the moving clock to the other position. so that takes a time d/v during that time a difference in time builds up between both clocks . th fist clock goes on with a factor 1 and the other clocj goes on with a factor gamma. so that leads to the amount of out of sync between both clocks.
See my previous post:
Ibix said:
So you are using the standard time dilation formula that directly assumes an isotropic speed of light. Thus you will measure an isotropic speed of light - as has been pointed out several times already on this thread.
 
  • #24
Ibix said:
So you are using the standard time dilation formula that directly assumes an isotropic speed of light. Thus you will measure an isotropic speed of light - as has been pointed out several times already on this thread.
not sure what you exactly mean by isotropic and why this is important
what i found:
'Isotropic refers to materials, substances, or physical properties that are uniform, identical, or consistent in all directions. '
but I only measure in 1 direction so i dont understand why you say that time dilation is based on more than 1 direction.
 
  • Skeptical
Likes   Reactions: weirdoguy
  • #26
After a very brief discussion this thread will remain closed.

To actually measure the one way speed of light would require an experiment whose outcome depends on Reichenbach’s ##\epsilon## or Anderson’s ##\kappa##. No such experiment exists and the calculations by the OP not only implicitly assume the usual speed they also do not even include those variables.
 
  • Like
Likes   Reactions: javisot
  • #27
One other note, on isotropy:

HansH said:
I only measure in 1 direction
But it can be any direction; that's the point. Your method has to work the same no matter what direction you decide to move the second clock.

If that's not clear to you, imagine that you don't get to pick the direction: someone else tells you in which direction to move the second clock, and you can't predict in advance which direction they'll tell you. Does your method change? No, it doesn't; you'll still do the same thing, because your method doesn't care in what direction the second clock moves. That means you're assuming that the one-way speed of light is the same in all directions--isotropic. And that assumption is baked into the time dilation formula you're using. And that assumption is equivalent to assuming a particular synchronization convention between spatially separated clocks.
 
  • Like
Likes   Reactions: FactChecker and javisot

Similar threads

  • · Replies 42 ·
2
Replies
42
Views
3K
  • · Replies 6 ·
Replies
6
Views
3K
  • · Replies 25 ·
Replies
25
Views
5K
  • · Replies 53 ·
2
Replies
53
Views
7K
  • · Replies 146 ·
5
Replies
146
Views
11K
  • · Replies 11 ·
Replies
11
Views
2K
  • · Replies 33 ·
2
Replies
33
Views
3K
  • · Replies 93 ·
4
Replies
93
Views
7K
  • · Replies 22 ·
Replies
22
Views
2K
  • · Replies 2 ·
Replies
2
Views
1K