Osculating Circle Homework: Solving for Curvature Limit

Click For Summary
SUMMARY

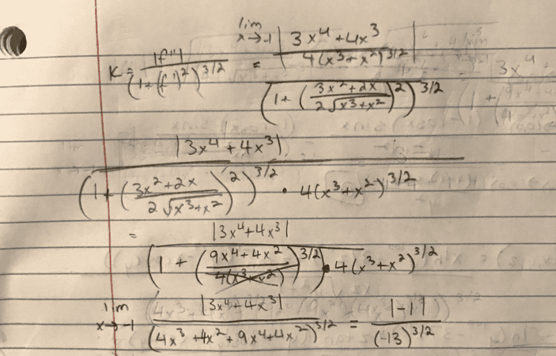
The discussion centers on solving for the curvature limit of an osculating circle using the curvature equation |f''| / [1-(f')^2]^(3/2). The user attempts to evaluate the limit as it approaches -1 but encounters confusion regarding the expected result of 2. The calculations presented yield |-1| / (13)^(3/2), indicating a misunderstanding in the application of the limit process or the curvature formula.

PREREQUISITES
  • Understanding of calculus, specifically derivatives and limits.
  • Familiarity with curvature concepts in differential geometry.
  • Knowledge of the osculating circle and its properties.
  • Proficiency in applying the curvature equation |f''| / [1-(f')^2]^(3/2).
NEXT STEPS
  • Review the derivation and application of the curvature equation in differential geometry.
  • Study the properties of the osculating circle and its relationship to curvature.
  • Practice limit evaluation techniques in calculus, focusing on indeterminate forms.
  • Explore examples of curvature limits to reinforce understanding of expected outcomes.
USEFUL FOR

Students studying calculus and differential geometry, particularly those tackling problems related to curvature and osculating circles.

Adeel Ahmad
Messages
45
Reaction score
0

Homework Statement


upload_2016-11-8_20-30-48.png


I know I would use the curvature equation |f''| / [1-(f')^2]^3/2 and then take the limit of that to -1. I just don't understand why I have to take the limit of the curvature and when I take the limit of the curvature I get |-1| / (13)^3/2 when the answer should be 2.
 
Physics news on Phys.org
This is my work:
 

Attachments

  • upload_2016-11-8_20-38-6.png
    upload_2016-11-8_20-38-6.png
    131.4 KB · Views: 531

Similar threads

  • · Replies 10 ·
Replies
10
Views
2K
  • · Replies 4 ·
Replies
4
Views
5K
  • · Replies 3 ·
Replies
3
Views
2K
  • · Replies 18 ·
Replies
18
Views
3K
  • · Replies 4 ·
Replies
4
Views
2K
  • · Replies 2 ·
Replies
2
Views
3K
  • · Replies 6 ·
Replies
6
Views
4K
  • · Replies 3 ·
Replies
3
Views
3K
  • · Replies 5 ·
Replies
5
Views
2K
Replies
7
Views
2K