Problem on a question about the gravitation potential

Click For Summary
SUMMARY

The discussion focuses on understanding gravitational potential and force fields when a mass is located inside the Earth. The integral of the gravitational force to derive potential requires splitting the integral into two parts: one from infinity to the Earth's surface and another from the Earth's surface to the mass's position. This distinction is crucial because the gravitational force behaves differently inside and outside the Earth. The gravitational constant (GN), Earth's radius (R), and the mass of the Earth (mE) are key variables in this context.

PREREQUISITES
  • Understanding of gravitational force and potential concepts
  • Familiarity with calculus, specifically integration techniques
  • Knowledge of the gravitational constant (GN) and its application
  • Basic physics principles regarding mass and gravitational fields
NEXT STEPS
  • Study the derivation of gravitational potential using integrals
  • Learn about the differences in gravitational force equations inside and outside a spherical mass
  • Explore the implications of gravitational potential in various physical scenarios
  • Investigate advanced topics in gravitational fields, such as the Shell Theorem
USEFUL FOR

Students studying physics, particularly those focusing on gravitational theories, as well as educators looking to clarify concepts related to gravitational potential and force fields.

Garlic
Gold Member
Messages
181
Reaction score
72
Hello everyone

1. Homework Statement


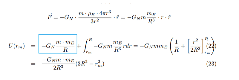
In the solution of a question, regarding the gravitational force fields and gravitational potential when the mass is inside Earth (where the height of the mass is lower than the radius of earth), the step where we take the integral of the force in order to get the potential is not very clearly defined, and I have problems understanding why it looks like this:

Where does this blue marked term come from? Why isn't its integral being taken, like the term on the right?
Why can't we simply find the potential by just taking the integral of the force field (without the blue marked term)?
Phy1.png

(Where the GN is the gravitation constant, R the radius of earth, m the mass of an object, and mE the mass of earth, r cap the unit vector of the r coordinate)

Thank you

Homework Equations

The Attempt at a Solution

 
Physics news on Phys.org
To calculate the potential this way, you need to take the integral from ##r = \infty## to ##r = r_m##. The equation for the force is different outside the Earth than within it, so you have to split the integral into two. The first integral is then from ##r = \infty## to ##r = R## and that's the first term, which is just the potential at the Earth's surface.
 
Oh, now I understand it.. :smile: Thank you
 

Similar threads

Replies
15
Views
2K
  • · Replies 2 ·
Replies
2
Views
2K
  • · Replies 4 ·
Replies
4
Views
2K
  • · Replies 7 ·
Replies
7
Views
3K
  • · Replies 1 ·
Replies
1
Views
1K
  • · Replies 5 ·
Replies
5
Views
3K
  • · Replies 12 ·
Replies
12
Views
3K
Replies
21
Views
3K
  • · Replies 7 ·
Replies
7
Views
3K
Replies
8
Views
2K