Problem Related to Binomial Coefficient

Click For Summary

Homework Help Overview

The discussion revolves around an algebraic proof of Vandermonde's identity and a related combinatorial identity involving binomial coefficients. Participants express confusion regarding specific steps in the proof and seek clarification on the reasoning behind them.

Discussion Character

  • Exploratory, Assumption checking, Problem interpretation

Approaches and Questions Raised

  • Participants question the clarity of the proof, particularly the transition between steps and the notation used. Some express a desire for a simpler method to prove a related identity involving binomial coefficients.

Discussion Status

Some participants have provided insights into the proof's structure and potential issues, such as typos and the complexity of reversing summation limits. Others have acknowledged the helpfulness of these insights while still seeking a clearer algebraic approach.

Contextual Notes

There is a noted lack of relevant equations in the original problem statement, and some participants are working under the constraint of needing an algebraic proof rather than a combinatorial argument.

dpa
Messages
146
Reaction score
0
Hi All,

Homework Statement



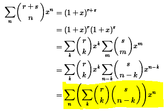
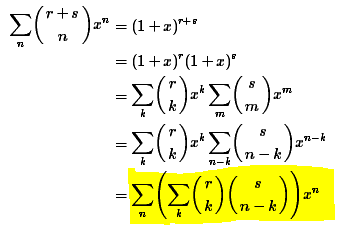
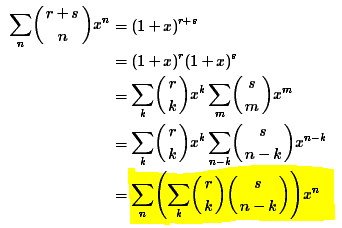
This is algebraic proof of Vandermonde's identity:

I am having some problem understanding how we reached the second last step and more importantly, last steps from revious steps.
attachment.php?attachmentid=51583&stc=1&d=1349525256.png


src::proofwiki.org

I would be grateful if someone would elaborate it clearly.

Homework Equations


Basically none that are relevant to answer my question.

The Attempt at a Solution


I have no idea how we reached the last two steps.

Thank You.
 

Attachments

  • Capture.PNG
    Capture.PNG
    3.2 KB · Views: 696
Last edited:
Physics news on Phys.org
dpa said:
Hi All,

Homework Statement



This is algebraic proof of Vandermonde's identity:

I am having some problem understanding how we reached the second last step and more importantly, last steps from revious steps.
attachment.php?attachmentid=51583&stc=1&d=1349525256.png


src::proofwiki.org

I would be grateful if someone would elaborate it clearly.

Homework Equations


Basically none that are relevant to answer my question.

The Attempt at a Solution


I have no idea how we reached the last two steps.

Thank You.

It is no wonder you are having trouble following that. Besides having a typo, it is written very sloppily. You are working on this (in which I have included the limits):$$
\sum_{k=0}^r \binom r k x^k\sum_{m=0}^s \binom s m x^m$$Notice it started with summation over a rectangle in the ##m,k## plane: ##0\le k\le r,\,0\le m\le s##.

In the second sum he makes a change of index from ##m## to ##n## by substituting ##n=m+k## or ##m=n-k##. This gives, including the limits:$$
\sum_{k=0}^r\binom r k x^k\sum_{n=k}^{s+k}\binom s {n-k}x^{n-k}$$Notice that the lower limit on the second sum is ##n=k##, not ##n-k##. That is a typo. Notice that the region of summation is now ##k\le n\le s+k,\, 0\le k \le r##. If you draw that region in the ##n,k## plane you will see it is a parallelogram. And he has ignored the upper limits in the sums.

What he does next is put it all under a double sum and reverse the order of summation. But when you reverse the limits it gets complicated putting the limits on in the other order. You would have to break the region up into two sums. That is probably why he has ignored the upper limits in the writeup. Good luck deciphering the rest of that writeup.
 
Thank You. That was very very helpful.
 
My goal actually is simpler. I have to prove
([itex]\stackrel{2n}{k}[/itex])=[itex]\Sigma^{k}_{l=0}[/itex]([itex]\stackrel{n}{l}[/itex])([itex]\stackrel{n}{k-l}[/itex])

I can't properly use latex but hope you can understand it.

I wanted to follow the above pattern to prove it, but if there is a simpler method, that would be helpful.

Thank You.
 
dpa said:
My goal actually is simpler. I have to prove
([itex]\stackrel{2n}{k}[/itex])=[itex]\Sigma^{k}_{l=0}[/itex]([itex]\stackrel{n}{l}[/itex])([itex]\stackrel{n}{k-l}[/itex])

I can't properly use latex but hope you can understand it.

I wanted to follow the above pattern to prove it, but if there is a simpler method, that would be helpful.

Thank You.

It's pretty easy to give a combinatorial argument. You want to chose k objects from 2n objects. Split the 2n up into two groups n. Count the number of ways to pick l from the first group and l-k from the other and sum them up.
 
Hi Dick,

Thank you for your suggestion. I am sorry for not including some point. I am actually looking for algebraic proof.

Thank You.
 

Similar threads

  • · Replies 7 ·
Replies
7
Views
2K
  • · Replies 7 ·
Replies
7
Views
3K
  • · Replies 1 ·
Replies
1
Views
2K
Replies
1
Views
3K
  • · Replies 5 ·
Replies
5
Views
5K
  • · Replies 4 ·
Replies
4
Views
2K
Replies
4
Views
2K
  • · Replies 8 ·
Replies
8
Views
5K
  • · Replies 10 ·
Replies
10
Views
3K
  • · Replies 1 ·
Replies
1
Views
2K