Problem using conservation of angular momentum

Click For Summary
SUMMARY

The discussion focuses on the application of conservation of angular momentum in a scenario involving a 0.2 kg ball revolving on a conical surface with an initial angular velocity of 4 rad/s. The tension in the cord is increased to reduce the radius from 0.3 m to 0.2 m. Participants clarify that while the vertical force does not create a moment about the vertex of the cone, the angular momentum remains conserved as the system transitions. The key takeaway is that the moment about the vertex is zero, allowing for the conservation of angular momentum despite changes in vertical position.

PREREQUISITES
  • Understanding of angular momentum and its conservation principles
  • Familiarity with rotational dynamics and moments
  • Knowledge of conical motion and forces acting on objects in circular paths
  • Basic grasp of vector mathematics, particularly cross products
NEXT STEPS
  • Study the principles of conservation of angular momentum in non-inertial frames
  • Explore the effects of varying tension in conical pendulum systems
  • Learn about the dynamics of rotating systems and their stability
  • Investigate the mathematical formulation of moments and forces in three-dimensional motion
USEFUL FOR

Physics students, mechanical engineers, and anyone interested in the dynamics of rotating systems and angular momentum conservation.

john001
Messages
2
Reaction score
0

Homework Statement



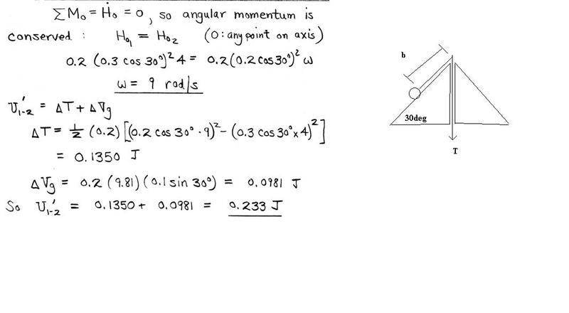
A 0.2kg ball and its supporting cord are revolving about the vertical axis on the fixed smooth conical surface with an angular velocity of 4 rad/s. The ball is held in the position b=0.3m by the tension T in the cord. If the distance b is reduced to the constant value of 0.2m by increasing the tension T in the cord, compute the new angular velocity w and the work done on the system by T.

Homework Equations



[tex]\sum[/tex]M=dH/dt

H=r x mv

The Attempt at a Solution



I solved this problem using conservation of angular momentum and it came out correct, but I can't for the life of me understand why momentum is conserved. I understand that the force in the radial direction does not have a moment about the radial direction because the cross product is zero, but what about the vertical direction? Doesn't the ball have to accelerate in the vertical direction in order to change its b value from 0.3 to 0.2? And doesn't an acceleration in the vertical direction mean an unbalanced force in the vertical direction, which subsequently means having an unbalanced moment about the middle of the cone?

Please let me know if I'm not making sense.
 

Attachments

  • untitled.JPG
    untitled.JPG
    23.9 KB · Views: 1,317
Physics news on Phys.org
Welcome to PF!

john001 said:
I solved this problem using conservation of angular momentum and it came out correct, but I can't for the life of me understand why momentum is conserved.
I understand that the force in the radial direction does not have a moment about the radial direction because the cross product is zero, but what about the vertical direction? Doesn't the ball have to accelerate in the vertical direction in order to change its b value from 0.3 to 0.2? And doesn't an acceleration in the vertical direction mean an unbalanced force in the vertical direction, which subsequently means having an unbalanced moment about the middle of the cone?

Hi john001! Welcome to PF! :smile:

If you take moments about the vertex of the cone, then the "vertical" force goes through the vertex, and so its moment is zero, and the angular momentum about the vertex will not change.

You are worrying abut "an unbalanced moment about the middle of the cone" … so you are taking moments about a point other than the vertex. Even so, this is to be expected … the moment (a vector) will be horizontal, so it should produce a rotation about the (instantaneously) parallel horizontal axis through the centre of the cone … which is exactly what does happen, since when it goes up the cone it is rotating about a horizontal axis! :biggrin:
 


tiny-tim said:
Hi john001! Welcome to PF! :smile:

If you take moments about the vertex of the cone, then the "vertical" force goes through the vertex, and so its moment is zero, and the angular momentum about the vertex will not change.

You are worrying abut "an unbalanced moment about the middle of the cone" … so you are taking moments about a point other than the vertex. Even so, this is to be expected … the moment (a vector) will be horizontal, so it should produce a rotation about the (instantaneously) parallel horizontal axis through the centre of the cone … which is exactly what does happen, since when it goes up the cone it is rotating about a horizontal axis! :biggrin:

Thank you very much tiny-tim.

It makes sense now.
 

Similar threads

  • · Replies 17 ·
Replies
17
Views
1K
  • · Replies 5 ·
Replies
5
Views
2K
  • · Replies 71 ·
3
Replies
71
Views
5K
Replies
6
Views
1K
  • · Replies 4 ·
Replies
4
Views
2K
Replies
23
Views
2K
Replies
3
Views
2K
Replies
335
Views
17K
Replies
26
Views
2K
  • · Replies 8 ·
Replies
8
Views
2K