Proving Theory: Transforming Step 1 to Step 2

  • Thread starter Thread starter mink_man
  • Start date Start date
  • Tags Tags
    Theory
Click For Summary

Discussion Overview

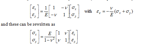
The discussion revolves around the transformation of mathematical steps in a proof related to shear strain and the derivation of specific equations involving elastic modulus (E), Poisson's ratio (v), and shear stress (τxy). Participants seek clarification on the relationships between these variables and the mathematical manipulations required to prove the stated equations.

Discussion Character

  • Technical explanation
  • Mathematical reasoning
  • Homework-related

Main Points Raised

  • One participant expresses confusion about how the first step transforms into the second step in the proof.
  • Another participant proposes a mathematical manipulation involving the inverse of a matrix, suggesting that if A = B*C, then B-1A = C.
  • Several participants question the origin of the term E/1-v2 in the equations related to shear strain.
  • A participant mentions the need to prove the relationship τxy = (E/1-v2) [((1-v)/2) (ωxy)], given ωxy = 1/G (τxy), indicating a connection between shear stress and shear strain.
  • Another participant suggests starting with the first equation, multiplying by 1/E, and then finding the inverse of a matrix, indicating a specific approach to the proof.
  • One participant admits unfamiliarity with shear strain theory but expresses confidence that others can assist with the mathematical proof.

Areas of Agreement / Disagreement

Participants express varying levels of understanding and confusion regarding the mathematical steps and the derivation of terms. There is no consensus on the clarity of the proof or the origin of specific terms, indicating multiple competing views and unresolved questions.

Contextual Notes

Limitations include potential missing definitions of terms and operators, as well as unresolved mathematical steps in the proof process. The discussion does not clarify all assumptions involved in the equations presented.

Who May Find This Useful

This discussion may be useful for students or individuals studying mechanics, particularly those interested in shear strain theory and the mathematical proofs associated with it.

mink_man
Messages
23
Reaction score
0
How does the first step transform into the second step. I have no idea :(

2012-12-01_1753.png
 
Physics news on Phys.org
Consider:

If A = B*C

then B-1A = B-1B*C

But B-1B = I

so that C = B-1A
 
I still don't understand where the E/1-v^2 comes from.
 
also its asked to prove shear strain, ill use this symbol for it. ω

it asks to prove τxy (tau xy) = (E/1-v^2) [((1-v)/2) (ωxy)]

given ωxy = 1/G (τxy)

Any help? :(
 
I still don't understand where the E/1-v^2 comes from.
Starting with the first equation, first multiply the 1/E into the 2x2 matrix. Then find the inverse of that matrix, then factor out the constant term.
 
mink_man said:
also its asked to prove shear strain, ill use this symbol for it. ω

it asks to prove τxy (tau xy) = (E/1-v^2) [((1-v)/2) (ωxy)]

given ωxy = 1/G (τxy)

Any help? :(

Sorry, I'm not familiar with the mechanics of shear strain theory. However, if it's just a mathematical proof that's required and all the terms and operators are completely defined, then I'm sure that someone here can help you with the mathematics.
 

Similar threads

  • · Replies 7 ·
Replies
7
Views
3K
  • · Replies 0 ·
Replies
0
Views
3K
Replies
2
Views
2K
  • · Replies 15 ·
Replies
15
Views
2K
  • · Replies 2 ·
Replies
2
Views
2K
  • · Replies 1 ·
Replies
1
Views
2K
  • · Replies 16 ·
Replies
16
Views
2K
  • · Replies 18 ·
Replies
18
Views
3K
  • · Replies 4 ·
Replies
4
Views
2K
  • · Replies 11 ·
Replies
11
Views
2K