QED - running of coupling (beta function)

Click For Summary

Discussion Overview

The discussion revolves around the calculation of the beta function in Quantum Electrodynamics (QED), specifically contrasting the methods used in QED with those in ##\varphi^4## theory. Participants explore the implications of different approaches to understanding how the vertex amplitude varies with momentum and its relation to the beta function.

Discussion Character

  • Technical explanation
  • Debate/contested
  • Mathematical reasoning

Main Points Raised

  • One participant expresses confusion regarding the standard approach to finding the beta function for QED, suggesting that a method similar to that used in ##\varphi^4## theory could be applied.
  • Another participant clarifies that the focus is not on asymptotic momenta but on the momenta at which renormalization conditions are set, indicating that the three-point function can be used for QED.
  • A participant mentions successfully finding the Dirac form factor but notes discrepancies in the resulting beta function, which is incorrect by a factor of ##-3/2##.
  • One participant seeks examples of calculations that reveal the positive beta function of QED, expressing frustration over their inability to reconcile their results with established literature.
  • Another participant references a calculation in background field gauge for QCD, suggesting that similar methods can be adapted for QED by focusing on the charged-particle loop.
  • One participant acknowledges familiarity with self-energy calculations yielding the beta function but seeks to understand how to derive the beta function from the vertex, as done in ##\phi^4## theory, and expresses confusion over their results being off by a factor of -2.

Areas of Agreement / Disagreement

Participants do not reach a consensus on the best method for calculating the beta function in QED, with multiple competing views and unresolved questions regarding the discrepancies in their results.

Contextual Notes

Participants note limitations in their calculations, including assumptions about the applicability of certain methods and the challenges in reconciling results with established references.

tomdodd4598
Messages
137
Reaction score
13
TL;DR
In φ^4 theory, the beta function is determined by analysing the amplitude of the vertex. Can we do the same in QED?
Hey there,

I am a little confused about the way most textbooks and notes I've read find the beta function for QED. They find it by looking at how the photon propagator varies with momentum ##q##, in particular in the context of a ##2\rightarrow2## scattering process which is proportional to ##e^2##, and arguing that the moving in the amplitude of the propagator can be interpreted in the movement of the value of the square of the coupling (e.g. Peskin and Schroeder pages 245-247).

In ##\varphi^4## theory, the story is rather different. Instead, we look at how the vertex amplitude varies with momentum, and the renormalisation of the field and mass is unrelated.

Can we not take a similar approach to determining the beta function for QED, i.e. look at how the vertex amplitude varies with momentum?
 
Physics news on Phys.org
They're not actually looking at how amplitudes vary with asymptotic momenta, but rather the "momenta" at which renormalization conditions are set. With that said, you absolutely can do this for QED by looking at the 3 point function.
 
  • Like
Likes   Reactions: tomdodd4598 and vanhees71
HomogenousCow said:
They're not actually looking at how amplitudes vary with asymptotic momenta, but rather the "momenta" at which renormalization conditions are set. With that said, you absolutely can do this for QED by looking at the 3 point function.
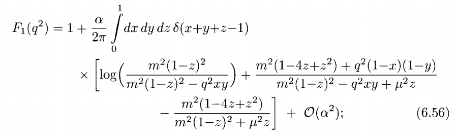
In that case, I must be making some sort of mistake. I have successfully found the Dirac form factor as given on page 196 of Peskin and Schroeder:
1599759753880.png


##m## is the electron mass and ##\mu## is a fictitious photon mass.

However, focussing on the logarithmic piece, it is easy to see that the amplitude actually goes down as the magnitude of ##q^2## increases (it's a space-like momentum), and furthermore I end up getting a ##\beta##-function which is wrong by a factor of ##-3/2##.
 
Last edited:
It's been a fair few months now, and I am still struggling to find an example of how this calculation of the QED vertex can reveal the positive beta function of QED. Does anyone know what I'm doing wrong? I'm assuming P&S's result is correct, and I have reproduced it.
 
One calculation is here (Sect. 7.3.2):

https://itp.uni-frankfurt.de/~hees/publ/lect.pdf

The calculation is in background field gauge and for QCD. For QED just forget the three diagrams with the gluon and ghost loops, because in QED you only have the diagram with the charged-particle loop (usually electrons/positrons instead of quarks of course).

The amazing feature of the background field gauge is that you have simple Ward-Takahashi identities in both QCD and QED and thus you don't need to caluate loop corrections for the vertex function to get the ##\beta## function but the calculation of the gluon/photon self energy is sufficient.
 
vanhees71 said:
One calculation is here (Sect. 7.3.2):

https://itp.uni-frankfurt.de/~hees/publ/lect.pdf

The calculation is in background field gauge and for QCD. For QED just forget the three diagrams with the gluon and ghost loops, because in QED you only have the diagram with the charged-particle loop (usually electrons/positrons instead of quarks of course).

The amazing feature of the background field gauge is that you have simple Ward-Takahashi identities in both QCD and QED and thus you don't need to caluate loop corrections for the vertex function to get the ##\beta## function but the calculation of the gluon/photon self energy is sufficient.
I'm familiar with the self-energy calculation yielding the ##\beta##-function, and the argument for why that happens (Peskin & Schroeder), but what I'm looking for is getting the ##\beta##-function from the vertex, as we would with something such as ##\phi^4## theory where we don't have the Ward-Takahashi identities, if possible as HomogenousCow suggested, or if not possible, why it isn't. I understand you don't need to do it this way, but I can't get a three-point function which gives rise to the correct result (agrees with P&S, but the resulting ##\beta##-function is out by a factor of -2), which is what is baffling me.
 
Last edited:

Similar threads

  • · Replies 2 ·
Replies
2
Views
1K
  • · Replies 6 ·
Replies
6
Views
2K
  • · Replies 2 ·
Replies
2
Views
1K
  • · Replies 22 ·
Replies
22
Views
3K
  • · Replies 1 ·
Replies
1
Views
2K
  • · Replies 0 ·
Replies
0
Views
1K
  • · Replies 6 ·
Replies
6
Views
5K
  • · Replies 1 ·
Replies
1
Views
1K
  • · Replies 2 ·
Replies
2
Views
3K
  • · Replies 1 ·
Replies
1
Views
2K