Question about reducing an answer from a derivative?

  • Context: Undergrad 
  • Thread starter Thread starter Ascendant78
  • Start date Start date
  • Tags Tags
    Derivative
Click For Summary

Discussion Overview

The discussion revolves around a participant's difficulty in simplifying an answer derived from a derivative, specifically in the context of solving for principal normal unit vectors. The focus is on the mathematical process involved in manipulating derivatives, particularly when squaring and taking roots of equations.

Discussion Character

  • Homework-related, Mathematical reasoning

Main Points Raised

  • A participant expresses confusion about the transition from one answer to a simplified version, emphasizing the complexity of squaring and factoring derivatives.
  • One suggestion involves putting two terms over a common denominator, expanding brackets, and extracting a common factor from the numerator.
  • A later reply acknowledges understanding after receiving the suggestion, indicating a moment of clarity.

Areas of Agreement / Disagreement

Participants appear to agree on the method suggested for simplification, but the initial confusion remains unresolved until the suggestion is made.

Contextual Notes

The discussion does not clarify specific assumptions or definitions related to the derivatives or the context of the homework problems, and it does not resolve the participant's initial confusion about the simplification process.

Who May Find This Useful

Students working on calculus problems involving derivatives, particularly in the context of physics or engineering applications.

Ascendant78
Messages
327
Reaction score
0
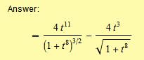
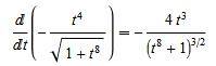
Ok, I can get to the answer in yellow, but I am not sure how they went from the answer in yellow to the simplified one in white. I really need to know how to do this because we are using these derivatives for magnitudes (solving for principal normal unit vectors), where I have to square them and take square roots. So, I'm sure you could imagine having to square equations like this, factor out, try to take roots, etc., is a complete and utter nightmare. Each problem is taking me about 30-40mins, and there are 9 homework problems.

Anyway, here is the derivative:

a_Screen_Shot.jpg


b_Screen_Shot.jpg
 
Physics news on Phys.org
Put your two terms over a common denominator, expand the brackets and extract 4t^3 as a common factor in the numerator.
 
  • Like
Likes   Reactions: 1 person
Simon Bridge said:
Put your two terms over a common denominator, expand the brackets and extract 4t^3 as a common factor in the numerator.

Ah, ok I see it now. Thanks again!
 
No worries. Well done.
 

Similar threads

  • · Replies 2 ·
Replies
2
Views
1K
  • · Replies 12 ·
Replies
12
Views
6K
  • · Replies 5 ·
Replies
5
Views
3K
  • · Replies 29 ·
Replies
29
Views
4K
  • · Replies 11 ·
Replies
11
Views
3K
  • · Replies 22 ·
Replies
22
Views
5K
  • · Replies 2 ·
Replies
2
Views
2K
  • · Replies 2 ·
Replies
2
Views
2K
  • · Replies 1 ·
Replies
1
Views
2K
  • · Replies 7 ·
Replies
7
Views
4K