Questioning My Thinking: A Reflection

Click For Summary

Homework Help Overview

The discussion revolves around understanding the electric field and potential difference in a capacitor, particularly focusing on the concept of space charge and the application of Gauss's law. Participants are exploring the implications of their assumptions and the definitions of symbols used in the problem.

Discussion Character

  • Exploratory, Assumption checking, Conceptual clarification

Approaches and Questions Raised

  • Participants are questioning the formulation of the problem, particularly the meaning of "space charge inside a capacitor." There are discussions about the Gauss surface, the variables involved, and whether the electric field can be zero in certain conditions. Some participants express confusion about the relationship between voltage and electric field strength.

Discussion Status

There is an ongoing exploration of the concepts involved, with some participants offering clarifications and suggestions for focusing on specific parts of the problem. However, there is no explicit consensus on the interpretations or solutions being proposed.

Contextual Notes

Participants note the importance of providing clear definitions and explanations for the symbols used in the problem. There is also mention of homework guidelines that require participants to post their own attempts before receiving help.

polibuda
Messages
51
Reaction score
9
Homework Statement
Determine the potential and electric field strength distribution inside the plate capacitor in the three cases.

1) The inside of the capacitor the space charge is equal to 0.

2) The interior of the flat capacitor contains an evenly distributed space charge qv.

3) The capacitor with homogeneous space charge qv. The capacitor plates are short-circuited.
Relevant Equations
E,V
I started to do this, but I'm not sure my thinking is good.
1606398671593.png
 
Last edited:
Physics news on Phys.org
As per
https://www.physicsforums.com/threads/homework-help-guidelines-for-students-and-helpers.686781/
we are not allowed to help until you post your own attempt at solution. (*)
And
polibuda said:
I have no idea how to start do this
does not count :-p

So until then you'll have to make do with e.g. one of the threads below :wink:

But it's not that difficult to find examples and modify them.

Tip: 'E, V' is not an equation.

(*) I'm not sure if that also excludes criticising the problem formulation ?:), but I find 'space charge inside a capacitor' hard to understand. What do you think is meant?
 
  • Like
Likes   Reactions: polibuda
I have corrected my statement.
 
You leave a lot to guess by not explaining the symbols, but never mind.

At I)
What is your Gauss surface A ?
What is r ? What is d ?
Is E = 0 the only possible solution ?
Does it say V(d) = 0 ?

At II) and III) we really need some explanation what you are doing ...
 
  • Like
Likes   Reactions: polibuda
BvU said:
You leave a lot to guess by not explaining the symbols, but never mind.

At I)
What is your Gauss surface A ?
What is r ? What is d ?
Is E = 0 the only possible solution ?
Does it say V(d) = 0 ?

At II) and III) we really need some explanation what you are doing ...

So maybe we should focus only on the first case.
The Gauss surface is cylinder.
r is mistake, it should be d, which is the distance between two plates of capacitor.
I think if qv (space charge)=0 inside the capacitor, the field strength must be equal 0 due to formula:
1606406308065.png

V(d) is equal to U from source voltage.
 
Good plan to start with I) :smile:.

Basically you are saying there is no field in between the plates of a capacitor, no matter what voltage is applied ! :nb)


polibuda said:
The Gauss surface is cylinder.
A cylinder in a uniform E field also has ##\int_V \rho\, dV = 0## but definitely not E = 0 !
 
  • Like
Likes   Reactions: polibuda
BvU said:
Good plan to start with I) :smile:.

Basically you are saying there is no field in between the plates of a capacitor, no matter what voltage is applied ! :nb)A cylinder in a uniform E field also has ##\int_V \rho\, dV = 0## but definitely not E = 0 !
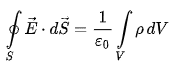
So I'm wrong, beacuse if the voltage exist (E=U/d), the field strength can't be equal to 0. But can you explain this formula. What is wrong?
1606407575926.png

A is coming from cylinder.
 
##\vec E \cdot d\vec A## on one side is equal and opposite to ##\vec E \cdot d\vec A## on the other: they cancel out.
 
Well, now I have no idea what I should to do. Could you advise me something?
 
  • #10
BvU said:
start with I
and find a relevant equation in your notes or textbook
 

Similar threads

  • · Replies 5 ·
Replies
5
Views
1K
Replies
11
Views
2K
Replies
4
Views
1K
  • · Replies 2 ·
Replies
2
Views
778
Replies
1
Views
1K
  • · Replies 9 ·
Replies
9
Views
2K
  • · Replies 1 ·
Replies
1
Views
1K
  • · Replies 1 ·
Replies
1
Views
1K
  • · Replies 8 ·
Replies
8
Views
2K
Replies
1
Views
2K