Recasting/Reducing ODEs of order n to first order

  • Context: MHB 
  • Thread starter Thread starter nacho-man
  • Start date Start date
  • Tags Tags
    First order Odes
Click For Summary

Discussion Overview

The discussion revolves around the process of recasting or reducing ordinary differential equations (ODEs) of higher order to first-order systems. Participants explore specific examples of ODEs, seek solutions, and clarify concepts related to the transformation of these equations.

Discussion Character

  • Homework-related
  • Technical explanation
  • Conceptual clarification

Main Points Raised

  • One participant requests a worked solution for two specific ODEs, expressing frustration with the lecture material and their understanding.
  • Another participant suggests substituting \( u(x) = y'(x) \) to simplify the second ODE into a second-order linear differential equation with constant coefficients.
  • A participant shares a solution involving the characteristic equation for the second ODE, detailing the roots and general solution form, while noting the need to differentiate to form a linear system.
  • One participant reiterates their request for help on the first ODE, indicating a desire to learn before an upcoming exam.
  • A later post acknowledges a misunderstanding about the concepts of recasting and reduction of order, indicating a shift in clarity regarding these terms.

Areas of Agreement / Disagreement

Participants express varying levels of understanding and approaches to the problems, with no consensus reached on the best method for solving the first ODE. Some participants clarify concepts, while others seek further assistance.

Contextual Notes

Participants discuss specific initial conditions and the form of the equations, but there are unresolved aspects regarding the application of methods and the interpretation of terms like recasting and reduction of order.

nacho-man
Messages
166
Reaction score
0
Could someone please provide a worked solution for me. I think that is the only way I will understand this. It was covered very vaguely in our lectures and my notes start talking about vectors and using co-domain notation which is very frustrating!

1. $y''(x) = x + y'(x) + e^{y(x)}$ with $y(0)=0, y'(0)=1$I know MHB doesn't endorse just handing out solutions, so I will try and attempt the second problem myself if someone may help me with the first. I really need to learn this for my exam in 7 days.

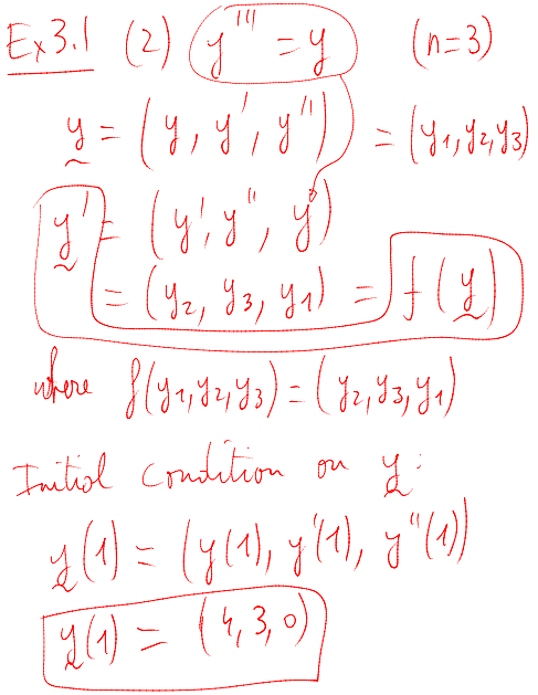
2. $y'''(x) = y(x)$ with $y(1) = 4, y'(1)=4, y''(1)=0$
 
Physics news on Phys.org
The second one is easy if you substitute [tex]\displaystyle \begin{align*} u(x) = y'(x) \end{align*}[/tex], making a second order linear DE with constant coefficients [tex]\displaystyle \begin{align*} u''(x) = u(x) \end{align*}[/tex].
 
This is my lecturer's solution.

What even man
 

Attachments

  • recast.png
    recast.png
    19.5 KB · Views: 127
The may or may not help you, but if I was going to solve the second one, I would note the characteristic equation is:

$$r^3-1=(r-1)\left(r^2+r+1 \right)=0$$

which has the roots:

$$r=1,\,\frac{-1\pm\sqrt{3}i}{2}$$

Hence, the general solution will take the form:

$$y(x)=c_1e^x+e^{-\frac{1}{2}x}\left(c_2\cos\left(\frac{\sqrt{3}}{2}x \right)+c_3\sin\left(\frac{\sqrt{3}}{2}x \right) \right)$$

Now it is a matter of differentiating to get a 3X3 linear system in the 3 parameters.
 
nacho said:
Could someone please provide a worked solution for me. I think that is the only way I will understand this. It was covered very vaguely in our lectures and my notes start talking about vectors and using co-domain notation which is very frustrating!

1. $y''(x) = x + y'(x) + e^{y(x)}$ with $y(0)=0, y'(0)=1$I know MHB doesn't endorse just handing out solutions, so I will try and attempt the second problem myself if someone may help me with the first. I really need to learn this for my exam in 7 days.

2. $y'''(x) = y(x)$ with $y(1) = 4, y'(1)=4, y''(1)=0$

For a second order ODE that can be written in the form: \(y''(x)=f(y'(x),y(x),x)\) we reduce this to a first order system by introducting the state vector \( {\bf{Y}}(x)=(y'(x),y(x))\). Now if we differentiate this we get:

\[ {\bf{Y}}'(x)=(y''(x),y'(x))\]
Now we may substitute \(y''(x)\) from the original equation into this to get:
\[ {\bf{Y}}'(x)=(f(y'(x),y(x),x),y'(x))\]
Then using \(y'(x)={\bf{Y}}_1\) and \(y(x)={\bf{Y}}_2\) we get:
\[ {\bf{Y}}'(x)=(f({\bf{Y}}_1,{\bf{Y}}_2,x),{\bf{Y}}_1)\]
with inotial condition \({\bf{Y}}(0)=({\bf{Y}}_1(0),{\bf{Y}}_2(0)) =(y'(0),y(0))\)

.
 
Last edited:
Please disregard my last post, I misread the question.
 
For the longest of time, our lecturer made it out to be that recasting and reduction of order were the same thing.

now that I know that they are not, everything is much more clearer.

Thanks for the help guys/gals
 

Similar threads

  • · Replies 5 ·
Replies
5
Views
2K
  • · Replies 3 ·
Replies
3
Views
4K
  • · Replies 2 ·
Replies
2
Views
4K
  • · Replies 3 ·
Replies
3
Views
2K
  • · Replies 2 ·
Replies
2
Views
4K
  • · Replies 7 ·
Replies
7
Views
3K
  • · Replies 2 ·
Replies
2
Views
2K
  • · Replies 1 ·
Replies
1
Views
977
  • · Replies 2 ·
Replies
2
Views
3K
  • · Replies 7 ·
Replies
7
Views
2K