Rounding to significant figures

Click For Summary

Homework Help Overview

The discussion revolves around the topic of rounding to significant figures in the context of calculating current using Ohm's Law, specifically the equation U = RI. Participants are examining discrepancies between their calculations and the book's provided solution.

Discussion Character

  • Exploratory, Assumption checking, Conceptual clarification

Approaches and Questions Raised

  • Participants express confusion over the book's answer and their own results, questioning the validity of the rounding applied. There are discussions about the significance of exact numbers in calculations and how they affect the number of significant figures in the result. Some participants suggest that the book's rounding may not adhere to the rules of significant figures.

Discussion Status

The discussion is ongoing, with participants sharing their reasoning and interpretations of the rules regarding significant figures. Some have offered insights into potential errors in the book's rounding approach, while others are exploring the implications of exact numbers on the calculations. There is no explicit consensus on the correctness of the book's answer.

Contextual Notes

Participants note that the original problem statement is not fully available, which limits their ability to definitively assess the correctness of the book's solution. There are references to potential rounding errors and the impact of intermediate calculations on the final result.

Skalvig
Messages
1
Reaction score
0
Homework Statement
Solve for the current
Relevant Equations
U = RI
1663493063663.png

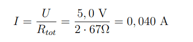
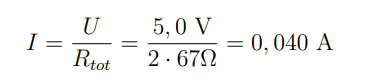
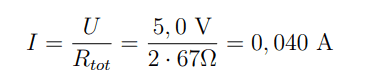
This is the solution from the book. But I only get 0,037 A. What am I doing wrong?
 
Physics news on Phys.org
Skalvig said:
Homework Statement:: Solve for the current
Relevant Equations:: U = RI

View attachment 314307
This is the solution from the book. But I only get 0,037 A. What am I doing wrong?
In my book ##\frac {5.0}{2.67}## should be greater than 1. So both your answer and the book answer are wrong!

EDIT: Apologies - see Post #3.
 
Last edited:
Steve4Physics said:
In my book ##\frac {5.0}{2.67}## should be greater than 1. So both your answer and the book answer are wrong!
##2\cdot 67##, not ##2.67##.
 
The book’s answer seems rounded without taking the last digit away. Alternatively this is a middle step where some things were rounded but all decimals kept in the actual computation.
 
Orodruin said:
##2\cdot 67##, not ##2.67##.
Aha. Should have gone to Specsavers (for anyone in the UK).
 
Steve4Physics said:
Should have gone to Specsavers (for anyone in the UK)
That one’s international I think.
 
The rule with multiplication/division:
https://en.wikipedia.org/wiki/Significant_figures#Multiplication_and_division said:
the calculated result should have as many significant figures as the least number of significant figures among the measured quantities used in the calculation.
Also, I'm assuming that ##2## is an exact number here. Again the rule that applies is:
https://en.wikipedia.org/wiki/Significant_figures#Identifying_significant_figures said:
  • An exact number has an infinite number of significant figures.
    • If the number of apples in a bag is 4 (exact number), then this number is 4.0000... (with infinite trailing zeros to the right of the decimal point). As a result, 4 does not impact the number of significant figures or digits in the result of calculations with it.
Therefore the calculated result should have 2 significant figures; which both your answer and the book's answer have.

Somehow the book has rounded the answer to 1 significant figure (as if ##2## wasn't exact) but still added a trailing zero, which makes no sense.

I prefer your answer.
 
The book is incorrect. Their answer advertises itself to be correct to two sig fig but it is not.
 
  • Like
Likes   Reactions: jbriggs444 and jack action
jack action said:
The rule with multiplication/division:

Also, I'm assuming that ##2## is an exact number here. Again the rule that applies is:

Therefore the calculated result should have 2 significant figures; which both your answer and the book's answer have.

Somehow the book has rounded the answer to 1 significant figure (as if ##2## wasn't exact) but still added a trailing zero, which makes no sense.

I prefer your answer.
hutchphd said:
The book is incorrect. Their answer advertises itself to be correct to two sig fig but it is not.
While this is likely, we simply don’t know this without knowing the original problem statement.
 
  • #10
Orodruin said:
While this is likely, we simply don’t know this without knowing the original problem statement.
I don't see a reasonable scenario where the book can be correct. Please elucidate.
 
  • #11
hutchphd said:
I don't see a reasonable scenario where the book can be correct. Please elucidate.
Orodruin said:
Alternatively this is a middle step where some things were rounded but all decimals kept in the actual computation.
 
  • #12
This seems equivalent to a divine intercession but I will neither (further) quibble nor agree.
 
  • #13
Orodruin said:
The book’s answer seems rounded without taking the last digit away. Alternatively this is a middle step where some things were rounded but all decimals kept in the actual computation.
It is a stretch, but the intermediate rounding theory just barely holds water.

Suppose that our full precision input values are 5.0, 2 (exact) and 66.5. We know the 5.0 value to plus or minus 0.05. We know the 66.5 result to plus or minus 0.5. Accordingly, we report these input values in the problem as 5.0, 2 and 67.

We [properly] compute ##\frac{1}{2.000 \times 66.5}## to obtain 0.00751879...

We [improperly] round this intermediate result to 0.008 while tagging it as having two significant figures. The tag would be correct, were it not for the improper rounding.

We [properly] multiply this intermediate result by 5.0 to obtain 0.04 and report it with two significant figures as 0.040. The two digit significance would be correct except that the reported data is not correct.

Of course, this is not just incorrect but is also cheating since our calculation was based on input data not made available to the student.

It would be possible to get similar misbehavior without cheating and without rounding anything to one sig fig. One would just need a series of intermediate calculations, all rounded in the same direction, accumulating an approximate 10% relative error over the course of the calculation. That would probably take at least three separate rounding events since the worst you can do at 2 significant figures is about 5% per rounding event.

Typical is less than one percent per rounding event. You get the worst case 5 percent when rounding 1.0499 or 1.0501 to 1.0 and 1.1 respectively. You get 0.5 percent when rounding 99.499 or 99.501 to 99 or 100 respectively. The root mean square is a good estimate for the middle of the range on a logarithmic basis. That's about a factor of three reduction in rounding error. Then on average you won't be rounding from a value near the rounding boundary. You'll be rounding something only about halfway there on average. That's another factor of two reduction. So average rounding error is a bit under 1% at two significant figures. Statistically independent errors (which rounding might or might not be) add in quadrature. So you would take the root sum square as an estimate of the total error.

But if you are doing things right, you are only rounding once, when reporting the final result.
 
Last edited:
  • Like
Likes   Reactions: hutchphd

Similar threads

  • · Replies 25 ·
Replies
25
Views
3K
  • · Replies 6 ·
Replies
6
Views
2K
  • · Replies 3 ·
Replies
3
Views
804
  • · Replies 1 ·
Replies
1
Views
1K
  • · Replies 11 ·
Replies
11
Views
2K
Replies
2
Views
1K
Replies
4
Views
3K
  • · Replies 2 ·
Replies
2
Views
2K
  • · Replies 19 ·
Replies
19
Views
7K
  • · Replies 4 ·
Replies
4
Views
2K