Seeking Guidance to Find Surface & Volume Bound Charges of a Half Cone

Click For Summary

Homework Help Overview

The discussion revolves around finding the surface and volume bound charges of a half cone, a topic within the context of electromagnetism and polarization. The original poster seeks guidance on their approach to the problem, which involves calculating bound charge densities on different surfaces of the cone.

Discussion Character

  • Exploratory, Assumption checking, Conceptual clarification

Approaches and Questions Raised

  • Participants discuss the expression for surface charge density on the lateral side of the cone, noting that it varies with distance from the vertex. There are suggestions to express this in terms of different coordinates. The original poster also seeks clarification on the surface charge density at the top circular surface and expresses difficulty in visualizing the necessary coordinate changes.

Discussion Status

Some participants have provided feedback on the original poster's expressions for the bound charge densities, indicating that certain representations are correct. There is ongoing exploration of how to approach the calculation of the surface charge density on the top surface, with participants offering guidance on using appropriate values and coordinate systems. The discussion has not reached a consensus, as the original poster has expressed uncertainty about their approach.

Contextual Notes

The original poster has indicated that they initially used constants in their calculations, which they later recognized as inappropriate for the problem. There is a mention of the original poster deciding to close the thread temporarily, as they feel their approach was incorrect and do not wish to continue along that path.

warhammer
Messages
164
Reaction score
33
Homework Statement
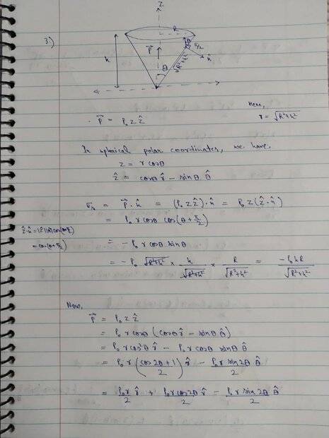
Cone shown in figure has half angle θ, vertical height h & radius R. Its axis is along z direction. Cone is polarised along z direction with Vector P= P(o)z(zhat) where P(o) is a constant. Find surface & volume bound charge density.
Relevant Equations
σ(b)= P(vector) * (nhat)
ρ(b)= - ∇* P(vector)
This was a trivial question I had (which I posted here on the PF EM Forum: https://www.physicsforums.com/threads/bound-charges-polarisation-of-a-half-cone.1015308/).

As I received no response on the above link I decided to post the same as a self formulated HW problem. Below I have attached an image of the cone as well as my solution in chronological order.

I request someone to please have a look and guide me if my approach to find the Surface & Volume Bound Charges is fine or not. If it isn't, I would also request guidance on how to find it correctly🙏🏻.
 

Attachments

  • Screenshot_2022-05-18-18-39-29-48_92460851df6f172a4592fca41cc2d2e6.jpg
    Screenshot_2022-05-18-18-39-29-48_92460851df6f172a4592fca41cc2d2e6.jpg
    11 KB · Views: 147
  • IMG-20220519-WA0013.jpg
    IMG-20220519-WA0013.jpg
    34.9 KB · Views: 161
  • IMG-20220519-WA0014.jpg
    IMG-20220519-WA0014.jpg
    37.8 KB · Views: 139
  • IMG-20220519-WA0015.jpg
    IMG-20220519-WA0015.jpg
    38.2 KB · Views: 159
  • Like
Likes   Reactions: Delta2
Physics news on Phys.org
For ##\sigma_b## at a point on the lateral side (sloping surface) of the cone, I follow you up to where you get ##\sigma_b = -r \sin\theta \cos\theta##. Here, ##r## is the distance from the point of interest to the vertex of the cone. Note that ##\sigma_b## varies with ##r##, so it is not a constant on the lateral side. But then you went on to write this in terms of the total height ##h## of the cone and the radius ##R## of the cone: ##\sigma_b= -\frac{P_0 h R}{\sqrt{R^2+h^2}}##. The right-hand side is now a constant, which you know is not the case.

If you want, you can express ##\sigma_b## for the lateral side in terms of ##z## instead of ##r##. You found ##\sigma_b = P_0z (\hat z \cdot \hat n)##. Express ## \hat z \cdot \hat n## in terms of ##\theta##.

For finding the volume charge density, try using Cartesian coordinates for calculating the divergence. I think you'll see that it is much easier than using spherical coordinates.

What about the surface charge density on the top circular surface of the cone?
 
  • Informative
Likes   Reactions: Delta2 and warhammer
TSny said:
For ##\sigma_b## at a point on the lateral side (sloping surface) of the cone, I follow you up to where you get ##\sigma_b = -r \sin\theta \cos\theta##. Here, ##r## is the distance from the point of interest to the vertex of the cone. Note that ##\sigma_b## varies with ##r##, so it is not a constant on the lateral side. But then you went on to write this in terms of the total height ##h## of the cone and the radius ##R## of the cone: ##\sigma_b= -\frac{P_0 h R}{\sqrt{R^2+h^2}}##. The right-hand side is now a constant, which you know is not the case.

If you want, you can express ##\sigma_b## for the lateral side in terms of ##z## instead of ##r##. You found ##\sigma_b = P_0z (\hat z \cdot \hat n)##. Express ## \hat z \cdot \hat n## in terms of ##\theta##.

For finding the volume charge density, try using Cartesian coordinates for calculating the divergence. I think you'll see that it is much easier than using spherical coordinates.

What about the surface charge density on the top circular surface of the cone?
Thank you so much sir for your prompt response. For the lateral side keeping in mind I cannot use constants, the value of ##\sigma_b=-P_0r\sin\theta\cos\theta## . I hope this is now the correct representation..

Yes! I mistakenly went through the flow and calculated volume charge density in SPC when it is much simpler and easier to use the Cartesian Coordinates here.

I was having trouble while trying to focus on surface charge density at the circular surface.. I was not able to visualise how and what coordinates will be altered or if it will altogether factor in or not.. Would you please offer some guidance on how to proceed with the same🙏🏻
 
Your expression for ##\sigma_b## for the lateral side looks good.

For the top surface, you can use your formula ##\sigma_b = P_0 z( \hat z \cdot \hat n)## with appropriate values of ##z## and ##\hat z \cdot \hat n##.
 
  • Love
Likes   Reactions: warhammer
Thread is closed temporarily for Moderation...
 
  • Wow
Likes   Reactions: Delta2
Thread will remain closed by the request of the OP. He has found that his approach to this problem was wrong, and does not want to proceed further along these lines. Thank you very much to @TSny for your help on this.
 

Similar threads

  • · Replies 1 ·
Replies
1
Views
3K
Replies
13
Views
7K
Replies
2
Views
2K
Replies
8
Views
3K
Replies
4
Views
2K
  • · Replies 3 ·
Replies
3
Views
6K
Replies
2
Views
3K
Replies
3
Views
2K
Replies
1
Views
5K
Replies
2
Views
4K