Shapiro-Wilks test and the order statistic

  • Context: Undergrad 
  • Thread starter Thread starter Mayhem
  • Start date Start date
  • Tags Tags
    Statistic Test
Click For Summary

Discussion Overview

The discussion centers around the interpretation of the order statistic in the context of the Shapiro-Wilk test, specifically regarding the relationship between the order statistic notation and the sorted data values.

Discussion Character

  • Technical explanation

Main Points Raised

  • One participant questions whether the notation $x_{(i)}$ (the ith order statistic) is equivalent to $x_i$ when the data is sorted in ascending order.
  • Another participant confirms that if the data is sorted, then $x_{(i)} = x_i$ holds true.
  • Some participants reference the Wikipedia page on the Shapiro-Wilk test, noting that it states $x_{(i)} \neq x_i$ in general.
  • There is a recognition that for ordered sequences, the equality $x_{(i)} = x_i$ simplifies computations, which one participant found beneficial while debugging their implementation in Python.

Areas of Agreement / Disagreement

Participants express some agreement on the special case where $x_{(i)} = x_i$ for sorted data, but there is also acknowledgment of the general case where this does not hold, indicating a lack of consensus on the broader implications.

Contextual Notes

Participants reference the Wikipedia page for clarification, which introduces potential limitations in understanding the notation and its implications in different contexts.

Mayhem
Messages
439
Reaction score
324
TL;DR
How to interpret the order statistic in the context of SW
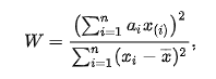
Given the Shapiro-Wilk test value W:
1654873563116.png

where I'm interested in the numerator. If my data is sorted in ascending order, my understanding is that $x_(i) = x_i$. Is that correct?
 
Last edited:
Physics news on Phys.org
Mayhem said:
Summary: How to interpret the order statistic in the context of SW

Given the Shapiro-Wilk test value W:
View attachment 302652
where I'm interested in the numerator. If my data is sorted in ascending order, my understanding is that $x_(i) = x_i$. Is that correct?
Sounds right to me. From the wiki page, https://en.wikipedia.org/wiki/Shapiro–Wilk_test:
##x_{(i)}## (with parentheses enclosing the subscript index i; not to be confused with ##x_i##) is the ith order statistic, i.e., the ith-smallest number in the sample
 
Orodruin said:
The Wiki page seems to be saying explicitly that in general ##x_{(i)} \neq x_i##.
But if the elements of the sequence are already ordered from smallest to largest, then ##x_{(i)} = x_i##.
 
Fair enough.
 
Orodruin said:
The Wiki page seems to be saying explicitly that in general ##x_{(i)} \neq x_i##.
Yes, but for computation, finding the special case where ##x_{(i)} = x_i## makes life easier, which I did, and I got the right results when debugging random samples against known calculators.
 

Similar threads

  • · Replies 9 ·
Replies
9
Views
3K
  • · Replies 6 ·
Replies
6
Views
32K
  • · Replies 23 ·
Replies
23
Views
3K
  • · Replies 24 ·
Replies
24
Views
7K
  • · Replies 1 ·
Replies
1
Views
1K
  • · Replies 30 ·
2
Replies
30
Views
5K
  • · Replies 4 ·
Replies
4
Views
2K
  • · Replies 11 ·
Replies
11
Views
4K
  • · Replies 6 ·
Replies
6
Views
1K
  • · Replies 30 ·
2
Replies
30
Views
4K