Simple linear regression model

Click For Summary
SUMMARY

The discussion centers on the interpretation of a simple linear regression model concerning humidity and moisture content. Specifically, it addresses why a 1% increase in humidity results in a 0.2727% increase in moisture content, rather than a cumulative increase. Additionally, participants debate the hypothesis testing of the slope (B_1), with one user asserting that B_1 is 0.2724 and should lead to the rejection of the null hypothesis (H0) that B_1 equals 1. The conversation emphasizes the importance of clear problem statements and adherence to forum guidelines for effective assistance.

PREREQUISITES
  • Understanding of simple linear regression concepts
  • Familiarity with hypothesis testing and null hypotheses
  • Knowledge of interpreting regression coefficients
  • Ability to analyze statistical data and results
NEXT STEPS
  • Study the principles of simple linear regression analysis
  • Learn about hypothesis testing in statistics, particularly regarding regression slopes
  • Explore the implications of regression coefficients in real-world scenarios
  • Review statistical guidelines for presenting data and problem statements in forums
USEFUL FOR

Students, statisticians, and data analysts seeking to deepen their understanding of regression analysis and hypothesis testing in statistical models.

tzx9633

Homework Statement


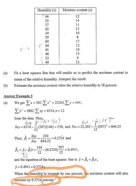
For the first question , why when the humidity increase by 1 percent , the moisture content will increase by 0.2727 percent ? Shouldn't it the moisture content will increase by 0.2727 + 0.4911 percent when the humidity increase by 1 percent ?
Second question , it's clear that in the 2nd photo , the slope , B_1 is 0.2724. It's is to test whether the slope equal to 1 in example 5 .. Why at the end of result , we should do not reject H0 , and conclude that B_1 is 1 ?
P/s : Example 5 (3rd and 4th photo) is continuous from example 3 (first and second photo)

Homework Equations

The Attempt at a Solution



I think for the second question is wrong . It's clear that in example 3 the B_1 is 0.2724 , which is not 1 . So , i think we should reject H0 , so that the slope , B_1 not equal to 1 . Correct me if i am wrong . [/B]
 

Attachments

  • 767.jpg
    767.jpg
    18.8 KB · Views: 394
  • 768.jpg
    768.jpg
    29.8 KB · Views: 467
  • 769.jpg
    769.jpg
    33.2 KB · Views: 462
  • 770.jpg
    770.jpg
    27 KB · Views: 473
Physics news on Phys.org
tzx9633 said:

Homework Statement


For the first question , why when the humidity increase by 1 percent , the moisture content will increase by 0.2727 percent ? Shouldn't it the moisture content will increase by 0.2727 + 0.4911 percent when the humidity increase by 1 percent ?
Second question , it's clear that in the 2nd photo , the slope , B_1 is 0.2724. It's is to test whether the slope equal to 1 in example 5 .. Why at the end of result , we should do not reject H0 , and conclude that B_1 is 1 ?
P/s : Example 5 (3rd and 4th photo) is continuous from example 3 (first and second photo)

Homework Equations

The Attempt at a Solution



I think for the second question is wrong . It's clear that in example 3 the B_1 is 0.2724 , which is not 1 . So , i think we should reject H0 , so that the slope , B_1 not equal to 1 . Correct me if i am wrong . [/B]

You should not expect helpers to look at your posted images. If you are serious about wanting help, you should type out the problem statement and the final regression equation. You can include the image of the data table---that is acceptable.

You should read the "pinned" thread "Guidelines for students and helpers" by Vela, to get a better idea of PF standards and recommendations.
 

Similar threads

  • · Replies 2 ·
Replies
2
Views
2K
  • · Replies 6 ·
Replies
6
Views
3K
  • · Replies 5 ·
Replies
5
Views
2K
  • · Replies 30 ·
2
Replies
30
Views
5K
Replies
3
Views
3K
  • · Replies 7 ·
Replies
7
Views
2K
  • · Replies 8 ·
Replies
8
Views
3K
Replies
15
Views
3K
  • · Replies 9 ·
Replies
9
Views
2K
  • · Replies 2 ·
Replies
2
Views
5K