Simple Riemann zeta function algebra help

Click For Summary

Discussion Overview

The discussion revolves around algebraic manipulations involving the Riemann zeta function, specifically focusing on the subtraction of two series. Participants explore the steps involved in simplifying the expressions and understanding the resulting series.

Discussion Character

  • Technical explanation
  • Mathematical reasoning
  • Debate/contested

Main Points Raised

  • Some participants express confusion about the final steps in simplifying the expression involving the series.
  • There is a suggestion to expand both series to clarify the terms involved, with one participant noting the first series includes all integers while the second series includes only even integers.
  • Another participant points out that subtracting the second series from the first results in a series of odd integers, emphasizing the need to expand both series for clarity.
  • One participant mentions attempting to use factorization and cancellation but struggles to understand how it leads to the final result.
  • There is a correction regarding the assumption that subtracting the two series would leave only a single term, highlighting that the result still contains an infinite number of terms.

Areas of Agreement / Disagreement

Participants do not reach a consensus on the simplification process, with multiple viewpoints on how to approach the subtraction of the series and what the resulting series represents.

Contextual Notes

Some participants express uncertainty about their mathematical skills, indicating that they may not fully grasp the implications of the series manipulations discussed.

tim9000
Messages
866
Reaction score
17
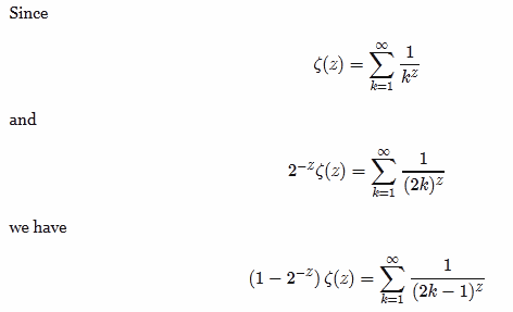
Hi
1.PNG

It's just that last step I'm not getting, so you have:
[1 / Kz] - [1 / (2K)z]
= [ (2K)z - Kz ] / [(2K)z * Kz]
= [ (2)z - 1 ] / [(2K)z*]
Then what?
Thanks
 
Mathematics news on Phys.org
tim9000 said:
Hi
View attachment 80246
It's just that last step I'm not getting, so you have:
[1 / Kz] - [1 / (2K)z]
= [ (2K)z - Kz ] / [(2K)z * Kz]
= [ (2)z - 1 ] / [(2K)z*]
Then what?
Thanks
Expand the first series, and you get ##\frac{1}{1^k} + \frac{1}{2^k} + \frac{1}{3^k} + ... + \frac{1}{n^k} ... ##
Expand the second series, and you get ##\frac{1}{2^k} + \frac{1}{4^k} + ... + \frac{1}{(2n)^k} ... ##
If you subtract the second series from the first, term by term, what do you get?
 
Mark44 said:
Expand the first series, and you get ##\frac{1}{1^k} + \frac{1}{2^k} + \frac{1}{3^k} + ... + \frac{1}{n^k} ... ##
Expand the second series, and you get ##\frac{1}{2^k} + \frac{1}{4^k} + ... + \frac{1}{(2n)^k} ... ##
If you subtract the second series from the first, term by term, what do you get?
Sorry, I'm not sure, I'm too rusty.
 
Can you see that every term in the second series is also present in the first series?
 
Mark44 said:
Can you see that every term in the second series is also present in the first series?
Ah, I've been trying to use factorisation and cancellation.
So when you minus S1 - S2 it leaves only 1/1k
but how does that explain the final line of working they got for the sum?
 
tim9000 said:
Ah, I've been trying to use factorisation and cancellation.
So when you minus S1 - S2 it leaves only 1/1k
No, that's not right. You still end up with a series with an infinite number of terms. Every term in the 2nd series is in the first series, but not every term in the 1st series is in the second. Expand both series like I did above, but with more terms, and then do the subtraction.
tim9000 said:
but how does that explain the final line of working they got for the sum?
 
tim9000 said:
Sorry, I'm not sure, I'm too rusty.
The second series consists of the reciprocals of powers of even integers. The first series consists of the reciprocals of all integers. Subtract the second from the first leaves the reciprocals of the powers of all odd integers.
 
Mark44 said:
No, that's not right. You still end up with a series with an infinite number of terms. Every term in the 2nd series is in the first series, but not every term in the 1st series is in the second. Expand both series like I did above, but with more terms, and then do the subtraction.
mathman said:
The second series consists of the reciprocals of powers of even integers. The first series consists of the reciprocals of all integers. Subtract the second from the first leaves the reciprocals of the powers of all odd integers.

Woops, yes I see what you were saying. Aaah ok, no wonder I couldn't rearrange it, I was contemplating partial fractions etc.
Thanks
 

Similar threads

  • · Replies 2 ·
Replies
2
Views
2K
  • · Replies 0 ·
Replies
0
Views
3K
  • · Replies 1 ·
Replies
1
Views
2K
  • · Replies 2 ·
Replies
2
Views
2K
  • · Replies 5 ·
Replies
5
Views
3K
  • · Replies 9 ·
Replies
9
Views
2K
  • · Replies 13 ·
Replies
13
Views
2K
  • · Replies 3 ·
Replies
3
Views
3K
  • · Replies 4 ·
Replies
4
Views
2K
  • · Replies 13 ·
Replies
13
Views
2K