Smith Chart: Find Input Impedance for Antenna Problem

Click For Summary
SUMMARY

The discussion focuses on using a Smith Chart to determine the input impedance of an antenna modeled as a 40-ohm resistor in parallel with a capacitor (Xc = -j25) fed by a 50-ohm lossless transmission line, 0.15 wavelengths long. Participants describe two methods for calculating the input impedance: one involves normalizing admittance by dividing by 0.02 Siemens (the characteristic impedance), while the other suggests dividing by 50 directly. Both methods lead to the same conclusion, emphasizing the importance of understanding the VSWR and the process of rotating around the chart to find the normalized input impedance.

PREREQUISITES
  • Understanding of Smith Chart fundamentals
  • Knowledge of impedance and admittance concepts
  • Familiarity with transmission line theory
  • Basic skills in complex number manipulation
NEXT STEPS
  • Study the principles of Smith Chart analysis in RF engineering
  • Learn about calculating VSWR and its significance in antenna design
  • Explore advanced topics in transmission line matching techniques
  • Investigate the impact of load impedance on signal integrity
USEFUL FOR

Electrical engineers, RF engineers, and students studying antenna design and transmission line theory will benefit from this discussion, particularly those looking to enhance their skills in impedance matching and Smith Chart applications.

maearnie
Messages
9
Reaction score
0

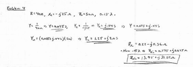
Homework Statement


An antenna is modeled by a 40ohm resistor in parallel with a capacitor with Xc = -j25. The antenna is fed
by a lossless 50ohm signal line 0.15 wavelengths long. Use a Smith Chart to find the input impedance to
the transmission line.

Homework Equations


The Attempt at a Solution


The solution is in the attached file but i don't understand it after obtaining the admittance.
 

Attachments

  • Capture.PNG
    Capture.PNG
    24 KB · Views: 483
  • Capture.PNG
    Capture.PNG
    24 KB · Views: 537
Physics news on Phys.org
maearnie said:

Homework Statement


An antenna is modeled by a 40ohm resistor in parallel with a capacitor with Xc = -j25. The antenna is fed
by a lossless 50ohm signal line 0.15 wavelengths long. Use a Smith Chart to find the input impedance to
the transmission line.

Homework Equations


The Attempt at a Solution


The solution is in the attached file but i don't understand it after obtaining the admittance.
This is how the person worked it out. First the parallel R and Xc can be expressed as admittances, by simply taking the reciprocal of each. Then they are normalised by dividing by 0.02, which is the value at the centre of the chart (it is the Zo of the line, 50 Ohms or 1/50=0.02 Siemens). Plot the normalised admittance, then notice the VSWR, which is the radial distance, and we rotate around the chart at this radius towards the generator for a distance of 0.15 lambda. This point gives the admittance at the generator, and we travel across the chart to the opposite point to obtain the normalised impedance at the generator. Multiply R and X by 50 to obtain the required values.
But I think the following is easier:
Find the normalised values of the parallel R and Xc by dividing each by 50.
Find their reciprocals, which gives you normalised admittance.
Plot the point and then travel diametrically across the chart and mark the normalised impedance of the load.
Note the VSWR at this point - the radius.
Rotate around the chart at this radius towards the generator for 0.15 lambda and this point gives you the normalised input impedance of the line.
Multiply the normalsed impedance values by 50 to obtain the actual values.
 
  • Like
Likes   Reactions: maearnie
tech99 said:
This is how the person worked it out. First the parallel R and Xc can be expressed as admittances, by simply taking the reciprocal of each. Then they are normalised by dividing by 0.02, which is the value at the centre of the chart (it is the Zo of the line, 50 Ohms or 1/50=0.02 Siemens). Plot the normalised admittance, then notice the VSWR, which is the radial distance, and we rotate around the chart at this radius towards the generator for a distance of 0.15 lambda. This point gives the admittance at the generator, and we travel across the chart to the opposite point to obtain the normalised impedance at the generator. Multiply R and X by 50 to obtain the required values.
But I think the following is easier:
Find the normalised values of the parallel R and Xc by dividing each by 50.
Find their reciprocals, which gives you normalised admittance.
Plot the point and then travel diametrically across the chart and mark the normalised impedance of the load.
Note the VSWR at this point - the radius.
Rotate around the chart at this radius towards the generator for 0.15 lambda and this point gives you the normalised input impedance of the line.
Multiply the normalsed impedance values by 50 to obtain the actual values.
Thank you very much! i was wondering why they multiplied 50 instead of multiplying it. hahaha
 

Similar threads

  • · Replies 2 ·
Replies
2
Views
1K
  • · Replies 1 ·
Replies
1
Views
2K
  • · Replies 1 ·
Replies
1
Views
2K
  • · Replies 11 ·
Replies
11
Views
8K
  • · Replies 4 ·
Replies
4
Views
4K
  • · Replies 5 ·
Replies
5
Views
3K
  • · Replies 1 ·
Replies
1
Views
2K
Replies
6
Views
2K
  • · Replies 4 ·
Replies
4
Views
3K
  • · Replies 3 ·
Replies
3
Views
4K