Solution to quadratic equation

Click For Summary

Homework Help Overview

The discussion revolves around solving a quadratic equation, specifically focusing on the implications of manipulating factors in the equation and the potential for discarding roots. Participants reference a specific problem and express concerns about the validity of their steps in the solution process.

Discussion Character

  • Exploratory, Assumption checking, Conceptual clarification

Approaches and Questions Raised

  • Participants discuss the process of factoring the quadratic equation and express confusion about dividing by expressions that may equal zero. Questions arise regarding the conditions under which certain manipulations are valid, particularly concerning the roots of the equation.

Discussion Status

The discussion is active, with participants seeking clarification on specific steps and the implications of their manipulations. Some guidance has been offered regarding the conditions under which certain expressions can be zero, and the potential for misunderstanding in the context of the original equation versus the modified equation.

Contextual Notes

There is an emphasis on the importance of not dividing by zero and the need to consider the implications of each step taken in the solution process. Participants are navigating the complexities of the quadratic equation and its roots, with specific attention to the conditions that must be met for valid solutions.

paulmdrdo
Messages
89
Reaction score
2
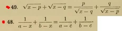
Q48_49hall_XXVIC.jpg
1. Homework Statement

Homework Equations

The Attempt at a Solution



I just want some clarification about the rules on solving quadratic equation. My question is coming from my solution for problem 49.

Solving problem 49 [/B]
Factor: (x−p−q)(√(x−q)+√(x−p))=0
Therefore: x−p−q=0⇒x=p+q this agrees with the answer in my book

What I am confused about is the part where I divided out the lhs by (√(x−q)+√(x−p)). This factor contains x in it and I'm worried that I may have discarded the other root for the equation. And since it is a quadratic equation I am expecting to get two roots for the equation. Can you enlighten me about this matter? Thanks.
 
Physics news on Phys.org
paulmdrdo said:
Q48_49hall_XXVIC.jpg
1. Homework Statement

Homework Equations

The Attempt at a Solution



I just want some clarification about the rules on solving quadratic equation. My question is coming from my solution for problem 49.

Solving problem 49 [/B]
Factor: (x−p−q)(√(x−q)+√(x−p))=0
Therefore: x−p−q=0⇒x=p+q this agrees with the answer in my book

What I am confused about is the part where I divided out the lhs by (√(x−q)+√(x−p)). This factor contains x in it and I'm worried that I may have discarded the other root for the equation. And since it is a quadratic equation I am expecting to get two roots for the equation. Can you enlighten me about this matter? Thanks.
When you solve an equation of form f(x) g(x) =0, you use the fact that the product is zero if either f(x)=0 or g(x)=0. In principle, it is possible that √(x−q)+√(x−p) = 0. What does it mean for √(x−q) and √(x−p)?
You started the solution by multiplying the whole equation with √(x−q)√(x−p). What is the condition that you may do it?
 
The one and only posibility that √(x−q)+√(x−p) =0 is if x=p=q. Therefore x=q=p is also a solution? I am still confused. Please bear with me.
 
paulmdrdo said:
The one and only posibility that √(x−q)+√(x−p) =0 is if x=p=q. Therefore x=q=p is also a solution? I am still confused. Please bear with me.

You are not allowed to have either ##x = p## or ##x = q##, because the right-hand-side of your original equation would then contain division by zero, which is absolutely forbidden.
 
Ray Vickson said:
You are not allowed to have either ##x = p## or ##x = q##, because the right-hand-side of your original equation would then contain division by zero, which is absolutely forbidden.

What? When x = x+p we will also have division by zero right? Why is it that √(x-q)+√(x-p) is not allowed to be equal zero but x-p-q can be equal zero?
 
paulmdrdo said:
What? When x = x+p we will also have division by zero right? Why is it that √(x-q)+√(x-p) is not allowed to be equal zero but x-p-q can be equal zero?
The following doesn't make sense unless p = 0 .
paulmdrdo said:
When x = x+p
 
Suggestion: Group the sqrt (x-p ) terms on one side of the equation (one term will be in the denominator), and the sqrt(x-q) terms on the other side of the equation and square both sides of the equation. You can then do some additional algebra. It's then a couple more steps, but you do get a quadratic expression for x in terms of p and q. The quadratic expression does factor and simplify and it does have a simple solution.
 
Last edited:
paulmdrdo said:
The one and only posibility that √(x−q)+√(x−p) =0 is if x=p=q. Therefore x=q=p is also a solution? I am still confused. Please bear with me.
You started the solution with multiplying the whole equation by √(x−q)*√(x−p). Before multiplying an equation with an expression you have to exclude that it is zero.
 
paulmdrdo said:
What? When x = x+p we will also have division by zero right? Why is it that √(x-q)+√(x-p) is not allowed to be equal zero but x-p-q can be equal zero?

Please read responses carefully: I said "... original equation...". In your original equation you had
[tex]\text{original right-hand-side} = \frac{q}{\sqrt{x-p}} + \frac{p}{\sqrt{x-q}}[/tex]
If you take ##x = p## or ##x = q## you will have ##1/\sqrt{0}## on the right, and that is forbidden.

Of course, after you multiply your equation by ##\sqrt{x-p} \sqrt{x-q}## you would have
[tex]\text{new right-hand-side} =q \sqrt{x-q} + p \sqrt{x-p}[/tex]
and in that new rhs you are certainly allowed to have ##x = p## or ##x = q##. However, that would not be giving you a solution to the original equation.
 
Last edited:
  • #10
Ray Vickson said:
Please read responses carefully: I said "... original equation...". In your original equation you had
[tex]\text{original right-hand-side} = \frac{1}{\sqrt{x-p}} + \frac{1}{\sqrt{x-q}}[/tex]
If you take ##x = p## or ##x = q## you will have ##1/\sqrt{0}## on the right, and that is forbidden.

Of course, after you multiply your equation by ##\sqrt{x-p} \sqrt{x-q}## you would have
[tex]\text{new right-hand-side} = \sqrt{x-q} + \sqrt{x-p}[/tex]
and in that new rhs you are certainly allowed to have ##x = p## or ##x = q##. However, that would not be giving you a solution to the original equation.
Thank you now it is clear!
 

Similar threads

  • · Replies 4 ·
Replies
4
Views
3K
  • · Replies 8 ·
Replies
8
Views
3K
  • · Replies 20 ·
Replies
20
Views
3K
  • · Replies 5 ·
Replies
5
Views
2K
Replies
1
Views
2K
  • · Replies 12 ·
Replies
12
Views
4K
  • · Replies 6 ·
Replies
6
Views
2K
Replies
3
Views
2K
Replies
23
Views
3K
  • · Replies 2 ·
Replies
2
Views
2K