Solving an equation with a parameter and a derivative

  • Context: Undergrad 
  • Thread starter Thread starter homeworkhelpls
  • Start date Start date
  • Tags Tags
    Derivative Parameter
Click For Summary
SUMMARY

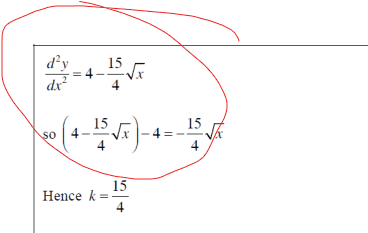
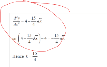
The discussion focuses on solving the second derivative equation $$\frac{d^2y}{dx^2} = 4 - \frac{15}{4} \sqrt{x}$$. Participants suggest two methods: rearranging the equation to identify the constant ##k## or substituting the second derivative into the modified equation $$\left(4 - \frac{15}{4} \sqrt{x} \right) + k \sqrt{x} = 4$$ to solve for ##k##. The thread concludes with a reminder about posting homework-related questions in designated sections, emphasizing the importance of following forum guidelines.

PREREQUISITES
  • Understanding of calculus, specifically second derivatives
  • Familiarity with algebraic manipulation of equations
  • Knowledge of parameter identification in differential equations
  • Experience with forum etiquette and posting guidelines
NEXT STEPS
  • Study methods for solving second-order differential equations
  • Learn about parameter identification techniques in calculus
  • Explore algebraic techniques for rearranging complex equations
  • Review forum rules and best practices for posting questions
USEFUL FOR

Students studying calculus, educators teaching differential equations, and forum users seeking to improve their question-posting etiquette.

homeworkhelpls
Messages
41
Reaction score
1
TL;DR
For 3(i)(b) does anyone know how to find the value of k?
1676625636034.png
idk how to start after finding the second derivative
 

Attachments

  • 1676625699080.png
    1676625699080.png
    4.6 KB · Views: 177
Physics news on Phys.org
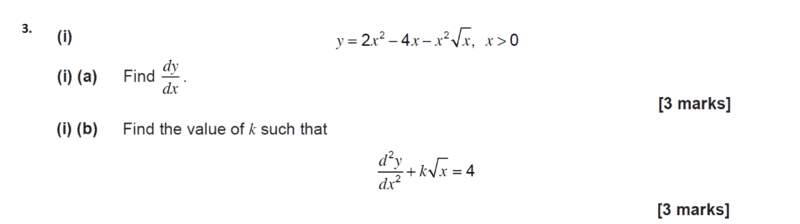
You have
$$
\frac{d^2y}{dx^2} = 4 - \frac{15}{4} \sqrt{x}
$$
You can either rearrange that equation so that it looks like
$$
\frac{d^2y}{dx^2} + k \sqrt{x} = 4
$$
and identify what ##k## is, or use a more robust approach by substituting the ##\frac{d^2y}{dx^2}## you have found into that second equation,
$$
\left(4 - \frac{15}{4} \sqrt{x} \right) + k \sqrt{x} = 4
$$
and solve for ##k##.
 
Thread closed. The OP has been warned five times previously that homework-type questions must be posted in one of the forum sections devoted to homework questions.
 

Similar threads

  • · Replies 5 ·
Replies
5
Views
3K
  • · Replies 1 ·
Replies
1
Views
2K
  • · Replies 2 ·
Replies
2
Views
4K
  • · Replies 3 ·
Replies
3
Views
3K
  • · Replies 2 ·
Replies
2
Views
2K
  • · Replies 12 ·
Replies
12
Views
8K
Replies
1
Views
2K
  • · Replies 6 ·
Replies
6
Views
2K
  • · Replies 2 ·
Replies
2
Views
3K
  • · Replies 2 ·
Replies
2
Views
2K