Solving Equations: Expanding Powers Explained
- Context: Graduate
- Thread starter AT36
- Start date
Click For Summary
Discussion Overview
The discussion revolves around the process of expanding powers in the context of deriving the slant range rate formula from a paper. Participants seek clarification on the mathematical steps involved in this derivation, particularly focusing on the expansion of powers and the application of certain approximations.
Discussion Character
- Exploratory
- Technical explanation
- Mathematical reasoning
Main Points Raised
- One participant requests an explanation of how results were obtained by expanding powers, indicating a lack of understanding of the mathematical process involved.
- Another participant asks for more context and a complete problem statement to provide meaningful assistance.
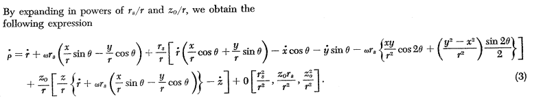
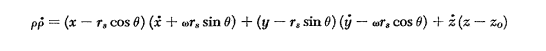
- A later reply provides a mathematical expression involving derivatives and suggests that the differentiation of the equation ##\rho^2 = a^2 + b^2 + c^2## leads to a specific form, while also introducing the approximation ##r_s / r << 1## for further analysis.
- The same participant expresses a willingness to help further but notes that writing out the full derivation is too time-consuming at the moment.
Areas of Agreement / Disagreement
Participants do not appear to reach a consensus, as there are multiple requests for clarification and varying levels of understanding regarding the mathematical steps involved. The discussion remains unresolved with respect to the specific expansion of powers.
Contextual Notes
The discussion highlights the dependence on specific mathematical assumptions and the need for clarity in problem statements. There are unresolved steps in the derivation process that participants are attempting to navigate.
Similar threads
- · Replies 6 ·
- · Replies 2 ·
- · Replies 24 ·
- · Replies 2 ·
- · Replies 9 ·
- · Replies 8 ·
- · Replies 3 ·
- · Replies 2 ·
- · Replies 4 ·
