System Control Query - Find y(t) from Y(s)

  • Context: Graduate 
  • Thread starter Thread starter DrMath
  • Start date Start date
  • Tags Tags
    Control System
Click For Summary
SUMMARY

The discussion focuses on finding the inverse Laplace transform to derive y(t) from the given Y(s) function in control systems. The provided function is Y(s) = (1/s) * (k / (s(s+1)+k)), which simplifies to Y(s) = (1/s) * (k / ((s+1/2)^2 + (k-1/4))). The inverse Laplace transform yields y(t) = (k / √(k-1/4)) * ∫(0 to t) e^(-t/2) * sin(√(k-1/4) * t) dt. This formula is crucial for analyzing system responses in control theory.

PREREQUISITES
  • Understanding of Laplace transforms and their properties
  • Familiarity with control systems and system response analysis
  • Knowledge of integral calculus, specifically definite integrals
  • Experience with mathematical modeling in engineering contexts
NEXT STEPS
  • Study the properties of the Laplace transform in detail
  • Learn about the application of inverse Laplace transforms in control systems
  • Explore numerical methods for evaluating integrals, particularly in engineering
  • Investigate the stability analysis of control systems using the derived y(t)
USEFUL FOR

Control engineers, system analysts, and students studying control theory who need to understand the application of Laplace transforms in system response analysis.

DrMath
Messages
28
Reaction score
0
Dear PF Friends,

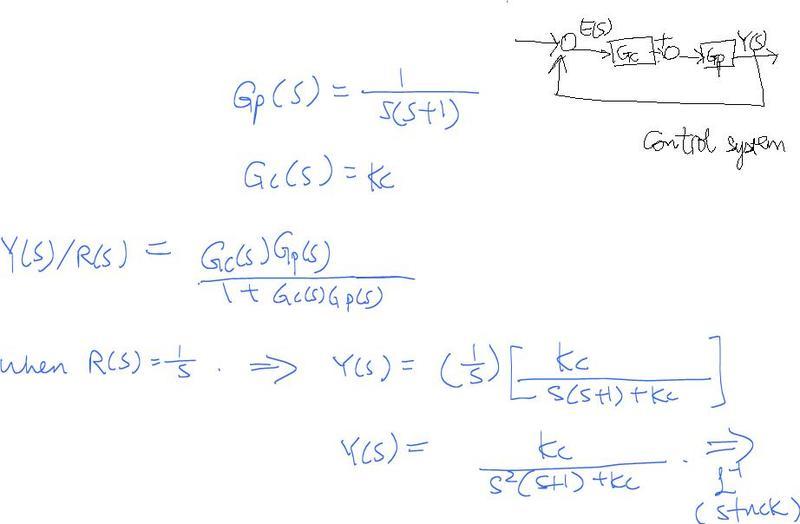
Given the system to be controlled.
I'm stuck in finding the inverse laplace (to find y(t) from Y(S)) - any advice?
 

Attachments

  • Query.jpg
    Query.jpg
    26.4 KB · Views: 433
Physics news on Phys.org
Must forgive me if it not correct. I'm trying

[tex]Y(s)=\frac{1}{s} ( \frac{k}{s(s+1)+k}) = \frac{1}{s} ( \frac{k}{(s+1/2)^2+ (k-1/4)})[/tex]

Invert
[tex]y(t)=\frac{k}{\sqrt{k-1/4}} \int_0^t e^{-t/2} \sin{(\sqrt{k-1/4})t } dt[/tex]
 

Similar threads

  • · Replies 2 ·
Replies
2
Views
4K
  • · Replies 4 ·
Replies
4
Views
2K
  • · Replies 1 ·
Replies
1
Views
10K
  • · Replies 2 ·
Replies
2
Views
2K
  • · Replies 5 ·
Replies
5
Views
2K
  • · Replies 3 ·
Replies
3
Views
2K
  • · Replies 2 ·
Replies
2
Views
10K
  • · Replies 1 ·
Replies
1
Views
2K
  • · Replies 1 ·
Replies
1
Views
3K
  • · Replies 1 ·
Replies
1
Views
2K