Thermodynamics - How to find an "adiabat"?

  • Thread starter Thread starter Javier0289
  • Start date Start date
  • Tags Tags
    Thermodynamics
Click For Summary

Homework Help Overview

The discussion revolves around finding an "adiabat" in thermodynamics, specifically exploring the relationship between entropy, internal energy, and volume in a system. Participants are examining equations of state and their implications for adiabatic processes.

Discussion Character

  • Exploratory, Conceptual clarification, Mathematical reasoning, Assumption checking

Approaches and Questions Raised

  • Participants are attempting to manipulate equations involving entropy and internal energy to derive relationships relevant to adiabatic processes. Questions arise regarding the elimination of variables and the implications of certain equations on the constancy of entropy.

Discussion Status

Some participants have provided insights into the relationships between variables and have suggested methods for deriving the form of adiabats. However, there is ongoing exploration of the implications of these relationships, and multiple interpretations of the equations are being discussed.

Contextual Notes

There are references to specific equations of state and the need for prior results to inform current discussions. Participants are also questioning the assumptions underlying the equations and their applicability to the concept of adiabatic processes.

Javier0289
Messages
6
Reaction score
2
Homework Statement
Hi, I've been struggling to find the form of the adiabat of this problem:
Given the fundamental relation, find the form of the adiabats in the P-V plane
(problem 2.3-5. Thermodynamics and an Introduction to Thermostatistics, Callen, pp 42)
Relevant Equations
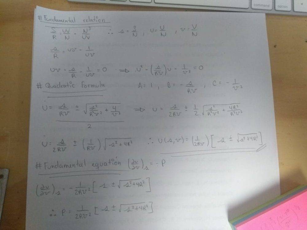
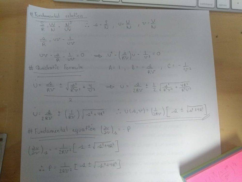
$${S \over R} = {UV \over N} - {N^3 \over UV}$$
I tried this... but I'm not sure if I'm doing it right or maybe there's a simpler way. Thanks for your time or help :)

The fundamental relation is:

$${S \over R} = {UV \over N} - {N^3 \over UV}$$

but I used $$s=S/N, u=U/N, v=V/N$$ to obtain

$${s \over R} = uv - {1 \over uv}$$

then I did some algebra...

$$u^2 - ({s \over Rv})u - {1 \over v^2} = 0$$

and used the quadratic formula

$$u = ({1 \over 2Rv})({s \pm \sqrt{s^2+4R^2}})$$

next I derived the previous expression

$$ (\frac{\partial u}{\partial v})_s = -P $$

$$ P = ({1 \over 2Rv^2})({s \pm \sqrt{s^2+4R^2}})$$

And my doubt is... how do I get rid of s?

I also tried

$$ (\frac{\partial s}{\partial v})_u = {P \over T} $$

and got

$$ {P \over T} = R(u+{1 \over uv^2})$$

but then how do I get rid of u?
 

Attachments

  • WhatsApp Image 2019-09-23 at 18.42.37.jpeg
    WhatsApp Image 2019-09-23 at 18.42.37.jpeg
    47.6 KB · Views: 350
Last edited:
Physics news on Phys.org
You need the answers from the preceding sub-questions. What did you get?
 
  • Like
Likes   Reactions: Javier0289
Hi! from a) all the equations of state are homogeneous of zero order
$$ {1 \over T} = R({V \over N} + {N^3 \over U^2V})$$
$$ {P \over T} = R({U \over N} + {N^3 \over UV^2})$$
$$ {μ \over T} = R({UV \over N^2} + {3N^2 \over UV})$$
b) the temperature is always positive
c) the mechanical equation of state P(T,v)
$$ P(T,v) = {RT \over v}[({1 \over vRT}-1)^{-1 \over 2}+({1 \over vRT}-1)^{1 \over 2}]$$
But then I realized that in the last equation is not guaranteed that the entropy will be kept constant, or is it?
 
DrClaude said:
You need the answers from the preceding sub-questions. What did you get?
Hi, I put the other results below
 
The best way to get the adiabat is to find an equation U as a function of V and P. Start with your EoS for P/T. Substitute in your EoS for 1/T on the LHS. Then you get an equation for P with a mess of U,V,N on the RHS. Keep working on getting a common denominator on the RHS and you are left with P=U/V. Use this to get dU=PdV+VdP and also recognize dU=del Q + del W = 0 - PdV. Then separate P and V variables on both sides to get PV^2=constant.
 
  • Like
Likes   Reactions: PhDeezNutz
Callen points out in part (d) of the problem that "An adiabat is a locus of constant entropy". From the given fundamental equation ##\dfrac{s}{R} = uv- \dfrac{1}{uv}##, show that the only way that ##s## can remain constant for this system is for ##uv## to be constant. From this and ##P = -(\dfrac{\partial u}{\partial v})_s\,##, you can derive the form of the adiabats in the ##P##-##v## plane.
 
  • Like
Likes   Reactions: Jerkov
TSny said:
Callen points out in part (d) of the problem that "An adiabat is a locus of constant entropy". From the given fundamental equation ##\dfrac{s}{R} = uv- \dfrac{1}{uv}##, show that the only way that ##s## can remain constant for this system is for ##uv## to be constant. From this and ##P = -(\dfrac{\partial u}{\partial v})_s\,##, you can derive the form of the adiabats in the ##P##-##v## plane.
impressive
 
Just in the interest of clarifying the term for future readers in slightly more plain language:

An adiabat is a line on a thermodynamic chart relating the pressure and temperature of a substance (such as air) that is undergoing a transformation in which no heat is exchanged with its environment.

(Source)
 
  • Like
Likes   Reactions: WWGD and renormalize

Similar threads

  • · Replies 1 ·
Replies
1
Views
3K
  • · Replies 0 ·
Replies
0
Views
526
  • · Replies 1 ·
Replies
1
Views
2K
Replies
5
Views
2K
Replies
1
Views
2K
  • · Replies 1 ·
Replies
1
Views
2K
  • · Replies 1 ·
Replies
1
Views
3K
  • · Replies 3 ·
Replies
3
Views
2K
Replies
2
Views
2K
Replies
4
Views
1K