Three Consecutive Odd Integers

  • Context: MHB 
  • Thread starter Thread starter mathdad
  • Start date Start date
  • Tags Tags
    Integers
Click For Summary

Discussion Overview

The discussion revolves around finding three consecutive odd integers such that the square of the first plus the square of the third equals 170. Participants are exploring the setup of the problem and the mathematical formulation involved.

Discussion Character

  • Homework-related
  • Mathematical reasoning

Main Points Raised

  • One participant presents the problem and questions the correctness of the setup.
  • Another participant suggests solving for x and ensuring the answer is odd, proposing the substitution x = 2n + 1 to enforce oddness, but notes it is not strictly necessary.
  • A correction is made regarding the equation, indicating it should be x^2 + (x + 4)^2 = 170.
  • Further replies include requests for confirmation on the correctness of the setup and solutions, with one participant noting a sign switch in a related equation.
  • Another participant acknowledges a mistake in their approach and thanks the corrector.

Areas of Agreement / Disagreement

Participants generally agree on the need to correct the mathematical formulation, but there are multiple viewpoints on the approach to solving the problem, and the discussion remains unresolved regarding the final solution.

Contextual Notes

Some assumptions about the formulation of the problem and the definitions of the integers are not explicitly stated, and there are unresolved steps in the mathematical reasoning.

mathdad
Messages
1,280
Reaction score
0
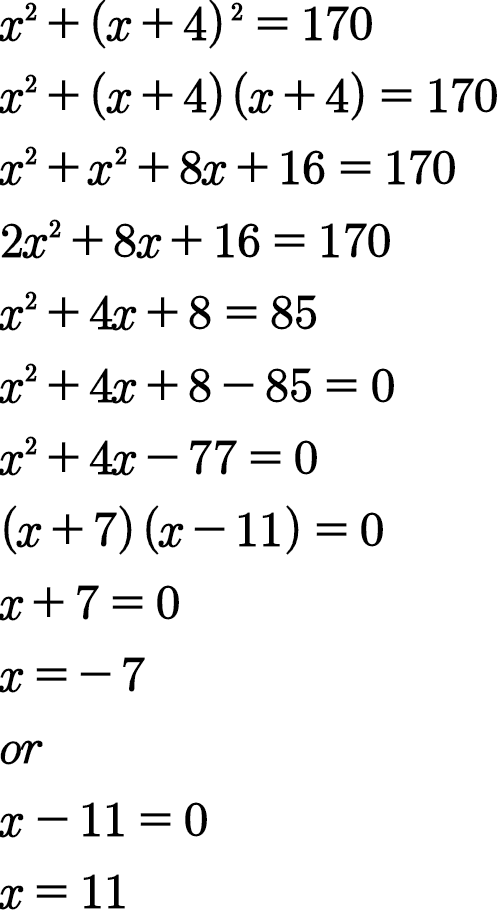
Find three consecutive odd integers such that the square of the first plus the square of the third is 170.

See picture for the set up.

View attachment 7356

Is the set up correct?
 

Attachments

  • MathMagic171010_2.png
    MathMagic171010_2.png
    2.2 KB · Views: 133
Last edited by a moderator:
Mathematics news on Phys.org
Re: Three Executive Odd Integers

RTCNTC said:
Find three consecutive odd integers such that the square of the first plus the square of the third is 170.

See picture for the set up.

Is the set up correct?
That's good. Just solve for x and make sure your answer is odd. Another addition to this would be to set x = 2n + 1, which forces x to be odd, but you don't actually have to take this step.

-Dan

Edit: Whoops! Your equation should only contain two numbers: [math]x^2 + (x + 4)^2 = 170[/math]. Sorry about that.
 
Re: Three Executive Odd Integers

topsquark said:
That's good. Just solve for x and make sure your answer is odd. Another addition to this would be to set x = 2n + 1, which forces x to be odd, but you don't actually have to take this step.

-Dan

Edit: Whoops! Your equation should only contain two numbers: [math]x^2 + (x + 4)^2 = 170[/math]. Sorry about that.

Ok. Thanks.
 

Attachments

  • MathMagic171010_1.png
    MathMagic171010_1.png
    10.3 KB · Views: 124
Last edited by a moderator:
Re: Three Executive Odd Integers

RTCNTC said:
See picture reply.

Correct?
You switched signs. It's [math](x - 7)(x + 11) = x^2 + (-7 + 11)x - 77 = x^2 + 4x - 77[/math].

-Dan
 
Re: Three Executive Odd Integers

I rushed through the problem. Thanks for the correction.
 

Similar threads

  • · Replies 7 ·
Replies
7
Views
2K
  • · Replies 31 ·
2
Replies
31
Views
4K
  • · Replies 11 ·
Replies
11
Views
2K
  • · Replies 3 ·
Replies
3
Views
2K
  • · Replies 2 ·
Replies
2
Views
2K
Replies
1
Views
1K
  • · Replies 4 ·
Replies
4
Views
3K
  • · Replies 16 ·
Replies
16
Views
3K
Replies
2
Views
5K
  • · Replies 28 ·
Replies
28
Views
5K