Torsion Scalar and Symmetries of Torsion Tensor

Click For Summary

Discussion Overview

The discussion revolves around the properties of the torsion scalar in Teleparallel theories, specifically within the context of f(T) theory. Participants explore the mathematical expressions and identities related to the torsion tensor, including its symmetry properties and implications for calculations involving the torsion scalar.

Discussion Character

  • Technical explanation
  • Mathematical reasoning
  • Debate/contested

Main Points Raised

  • One participant questions how certain terms in the product of the torsion scalar vanish, given the torsion tensor's asymmetry in its indices.
  • Another participant notes that torsion tensors of interest are often totally antisymmetric, but clarifies that the tensors discussed are defined using Wietzenböck connections and are not totally antisymmetric.
  • A detailed mathematical breakdown is provided by a participant, outlining the identities and transformations involving the torsion tensor and its components, leading to expressions for A and B in the context of the torsion scalar.
  • There is a humorous exchange regarding coffee, indicating a casual tone amidst the technical discussion.

Areas of Agreement / Disagreement

Participants express differing views on the symmetry properties of the torsion tensor and its implications for the torsion scalar. The discussion remains unresolved regarding the vanishing of certain terms and the nature of the torsion tensor.

Contextual Notes

The discussion includes complex mathematical identities and transformations that may depend on specific assumptions about the torsion tensor and its definitions. There are unresolved steps in the derivations presented.

nanuba
Messages
3
Reaction score
0
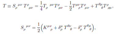
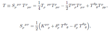
I've started f(T) theory but I have a simple question like something that i couldn't see straightforwardly.
In Teleparallel theories one has the torsion scalar:

upload_2015-7-13_15-26-12.png

upload_2015-7-13_15-27-27.png

And if you take the product you should obtain
upload_2015-7-13_15-29-31.png

But there seems to be the terms like
upload_2015-7-13_15-31-56.png
upload_2015-7-13_15-32-16.png
upload_2015-7-13_15-32-48.png
.
How does this one vanish?
because we know that Torsion tensor is not symmetric in first two indices but antisymmetric in the last two indices.
 
Physics news on Phys.org
Often one is interested in torsion tensors that are totally antisymmetric. Is that the case here?
 
Oscillatory behavior
 
bcrowell said:
Often one is interested in torsion tensors that are totally antisymmetric. Is that the case here?
Nope. These are defined in terms of Wietzenböck konnections:
upload_2015-7-14_9-59-32.png
and are not totally antisymmetric.
 
nanuba said:
I've started f(T) theory but I have a simple question like something that i couldn't see straightforwardly.
In Teleparallel theories one has the torsion scalar:

View attachment 85890
View attachment 85891
And if you take the product you should obtain
View attachment 85892
But there seems to be the terms like
View attachment 85893View attachment 85894View attachment 85895.
How does this one vanish?
because we know that Torsion tensor is not symmetric in first two indices but antisymmetric in the last two indices.

Will you buy me strong black coffee if I do it for you? Okay, start by multiplying the two tensor
[tex]S^{\rho\mu\nu}T_{\rho\mu\nu} = A + B , \ \ \ \ \ (1)[/tex]
where
[tex]A = \frac{1}{4} T^{\rho\mu\nu}T_{\rho\mu\nu} + \frac{1}{4} T^{\mu\rho\nu}T_{\rho\mu\nu} - \frac{1}{4} T^{\nu\rho\mu}T_{\rho\mu\nu} , \ \ \ \ (2)[/tex] and [tex]B = -\frac{1}{2}T_{\alpha}{}^{\mu\alpha} \ T^{\rho}{}_{\mu\rho} + \frac{1}{2}T_{\alpha}{}^{\nu\alpha} \ T^{\rho}{}_{\rho\nu} ,[/tex] or
[tex]B = -\frac{1}{2}T_{\alpha}{}^{\mu\alpha} \ T^{\rho}{}_{\mu\rho} - \frac{1}{2}T_{\alpha}{}^{\mu\alpha} \ T^{\rho}{}_{\mu\rho} = - T_{\alpha}{}^{\mu\alpha} \ T^{\rho}{}_{\mu\rho} ,[/tex] which is the same as
[tex]B = T_{\alpha}{}^{\mu\alpha} \ T^{\rho}{}_{\rho\mu} = T^{\alpha\mu}{}_{\alpha} \ T^{\rho}{}_{\rho\mu} . \ \ \ \ \ (3)[/tex] That is all for [itex]B[/itex]. To work on [itex]A[/itex], we start with the identity
[tex]T^{\mu\nu}{}_{\rho} \left( T^{\rho}{}_{\nu\mu} + T^{\rho}{}_{\mu\nu} \right) = 0 .[/tex] In the first term, if we make [itex]\rho \to \nu[/itex], [itex]\mu \to \rho[/itex] and [itex]\nu \to \mu[/itex], we find
[tex]T^{\rho\mu}{}_{\nu} \ T^{\nu}{}_{\mu\rho} + T^{\mu\nu}{}_{\rho} \ T^{\rho}{}_{\mu\nu} = 0 .[/tex] Let us rewrite this as
[tex]T^{\rho\mu\nu} \ T_{\nu\mu\rho} + T_{\mu\nu\rho} \ T^{\rho\mu\nu} = 0 .[/tex] Using the antisymmetry in the second term, we get
[tex]T^{\rho\mu\nu} \ T_{\nu\mu\rho} = T^{\rho\mu\nu} \ T_{\mu\rho\nu} .[/tex] Now, on the RHS we make [itex]\rho \leftrightarrow \mu[/itex] and get
[tex]T^{\rho\mu\nu} \ T_{\nu\mu\rho} = T^{\mu\rho\nu} \ T_{\rho\mu\nu} .[/tex] Add [itex]T^{\rho\mu\nu}T_{\nu\mu\rho}[/itex] to both sides,
[tex]T^{\rho\mu\nu} \ T_{\nu\mu\rho} = \frac{1}{2}\left( T^{\mu\rho\nu} \ T_{\rho\mu\nu} + T^{\rho\mu\nu} \ T_{\nu\mu\rho} \right) .[/tex] In the second term on the RHS, lower the indices on the first tensor and raise them on the second tensor
[tex]T^{\rho\mu\nu} \ T_{\nu\mu\rho} = \frac{1}{2}\left( T^{\mu\rho\nu} \ T_{\rho\mu\nu} + T_{\rho\mu\nu} \ T^{\nu\mu\rho} \right) .[/tex] Using the antisymmetry and dividing by 2, we obtain
[tex]\frac{1}{4} T^{\mu\rho\nu} T_{\rho\mu\nu} - \frac{1}{4} T^{\nu\rho\mu} T_{\rho\mu\nu} = \frac{1}{2} T^{\rho\mu\nu}T_{\nu\mu\rho} = - \frac{1}{2} T^{\rho\mu\nu} T_{\nu\rho\mu}.[/tex] And finally, we rewrite this identity in the form
[tex]\frac{1}{4} T^{\mu\rho\nu} T_{\rho\mu\nu} - \frac{1}{4} T^{\nu\rho\mu} T_{\rho\mu\nu} = - \frac{1}{2} T^{\rho\mu}{}_{\nu} \ T^{\nu}{}_{\rho\mu} .[/tex] Now, substituting this identity in (2) leads to [tex]A = \frac{1}{4} T^{\rho\mu\nu} T_{\rho\mu\nu} - \frac{1}{2} T^{\rho\mu}{}_{\nu} \ T^{\nu}{}_{\rho\mu} . \ \ \ (4)[/tex] Now, put (3) and (4) in (1), you get
[tex]S^{\rho\mu\nu}T_{\rho\mu\nu} = \frac{1}{4} T^{\rho\mu\nu} T_{\rho\mu\nu} - \frac{1}{2} T^{\rho\mu}{}_{\nu} \ T^{\nu}{}_{\rho\mu} + T^{\alpha\mu}{}_{\alpha} \ T^{\rho}{}_{\rho\mu} .[/tex]
Okay, don’t forget my coffee.
Sam
 
  • Like
Likes   Reactions: PWiz, nanuba, vanhees71 and 1 other person
samalkhaiat said:
Will you buy me strong black coffee if I do it for you? Okay, start by multiplying the two tensor
[tex]S^{\rho\mu\nu}T_{\rho\mu\nu} = A + B , \ \ \ \ \ (1)[/tex]
where
[tex]A = \frac{1}{4} T^{\rho\mu\nu}T_{\rho\mu\nu} + \frac{1}{4} T^{\mu\rho\nu}T_{\rho\mu\nu} - \frac{1}{4} T^{\nu\rho\mu}T_{\rho\mu\nu} , \ \ \ \ (2)[/tex] and [tex]B = -\frac{1}{2}T_{\alpha}{}^{\mu\alpha} \ T^{\rho}{}_{\mu\rho} + \frac{1}{2}T_{\alpha}{}^{\nu\alpha} \ T^{\rho}{}_{\rho\nu} ,[/tex] or
[tex]B = -\frac{1}{2}T_{\alpha}{}^{\mu\alpha} \ T^{\rho}{}_{\mu\rho} - \frac{1}{2}T_{\alpha}{}^{\mu\alpha} \ T^{\rho}{}_{\mu\rho} = - T_{\alpha}{}^{\mu\alpha} \ T^{\rho}{}_{\mu\rho} ,[/tex] which is the same as
[tex]B = T_{\alpha}{}^{\mu\alpha} \ T^{\rho}{}_{\rho\mu} = T^{\alpha\mu}{}_{\alpha} \ T^{\rho}{}_{\rho\mu} . \ \ \ \ \ (3)[/tex] That is all for [itex]B[/itex]. To work on [itex]A[/itex], we start with the identity
[tex]T^{\mu\nu}{}_{\rho} \left( T^{\rho}{}_{\nu\mu} + T^{\rho}{}_{\mu\nu} \right) = 0 .[/tex] In the first term, if we make [itex]\rho \to \nu[/itex], [itex]\mu \to \rho[/itex] and [itex]\nu \to \mu[/itex], we find
[tex]T^{\rho\mu}{}_{\nu} \ T^{\nu}{}_{\mu\rho} + T^{\mu\nu}{}_{\rho} \ T^{\rho}{}_{\mu\nu} = 0 .[/tex] Let us rewrite this as
[tex]T^{\rho\mu\nu} \ T_{\nu\mu\rho} + T_{\mu\nu\rho} \ T^{\rho\mu\nu} = 0 .[/tex] Using the antisymmetry in the second term, we get
[tex]T^{\rho\mu\nu} \ T_{\nu\mu\rho} = T^{\rho\mu\nu} \ T_{\mu\rho\nu} .[/tex] Now, on the RHS we make [itex]\rho \leftrightarrow \mu[/itex] and get
[tex]T^{\rho\mu\nu} \ T_{\nu\mu\rho} = T^{\mu\rho\nu} \ T_{\rho\mu\nu} .[/tex] Add [itex]T^{\rho\mu\nu}T_{\nu\mu\rho}[/itex] to both sides,
[tex]T^{\rho\mu\nu} \ T_{\nu\mu\rho} = \frac{1}{2}\left( T^{\mu\rho\nu} \ T_{\rho\mu\nu} + T^{\rho\mu\nu} \ T_{\nu\mu\rho} \right) .[/tex] In the second term on the RHS, lower the indices on the first tensor and raise them on the second tensor
[tex]T^{\rho\mu\nu} \ T_{\nu\mu\rho} = \frac{1}{2}\left( T^{\mu\rho\nu} \ T_{\rho\mu\nu} + T_{\rho\mu\nu} \ T^{\nu\mu\rho} \right) .[/tex] Using the antisymmetry and dividing by 2, we obtain
[tex]\frac{1}{4} T^{\mu\rho\nu} T_{\rho\mu\nu} - \frac{1}{4} T^{\nu\rho\mu} T_{\rho\mu\nu} = \frac{1}{2} T^{\rho\mu\nu}T_{\nu\mu\rho} = - \frac{1}{2} T^{\rho\mu\nu} T_{\nu\rho\mu}.[/tex] And finally, we rewrite this identity in the form
[tex]\frac{1}{4} T^{\mu\rho\nu} T_{\rho\mu\nu} - \frac{1}{4} T^{\nu\rho\mu} T_{\rho\mu\nu} = - \frac{1}{2} T^{\rho\mu}{}_{\nu} \ T^{\nu}{}_{\rho\mu} .[/tex] Now, substituting this identity in (2) leads to [tex]A = \frac{1}{4} T^{\rho\mu\nu} T_{\rho\mu\nu} - \frac{1}{2} T^{\rho\mu}{}_{\nu} \ T^{\nu}{}_{\rho\mu} . \ \ \ (4)[/tex] Now, put (3) and (4) in (1), you get
[tex]S^{\rho\mu\nu}T_{\rho\mu\nu} = \frac{1}{4} T^{\rho\mu\nu} T_{\rho\mu\nu} - \frac{1}{2} T^{\rho\mu}{}_{\nu} \ T^{\nu}{}_{\rho\mu} + T^{\alpha\mu}{}_{\alpha} \ T^{\rho}{}_{\rho\mu} .[/tex]
Okay, don’t forget my coffee.
Sam

I owe you a black coffee :)
 

Similar threads

  • · Replies 5 ·
Replies
5
Views
1K
  • · Replies 6 ·
Replies
6
Views
7K
  • · Replies 7 ·
Replies
7
Views
1K
  • · Replies 1 ·
Replies
1
Views
2K
  • · Replies 19 ·
Replies
19
Views
2K
  • · Replies 6 ·
Replies
6
Views
2K
  • · Replies 22 ·
Replies
22
Views
4K
  • · Replies 16 ·
Replies
16
Views
6K
  • · Replies 1 ·
Replies
1
Views
1K
  • · Replies 16 ·
Replies
16
Views
2K