Uncertainty of the function? My answer is a bit different

Click For Summary
SUMMARY

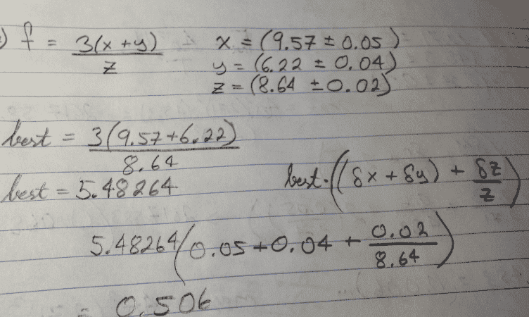
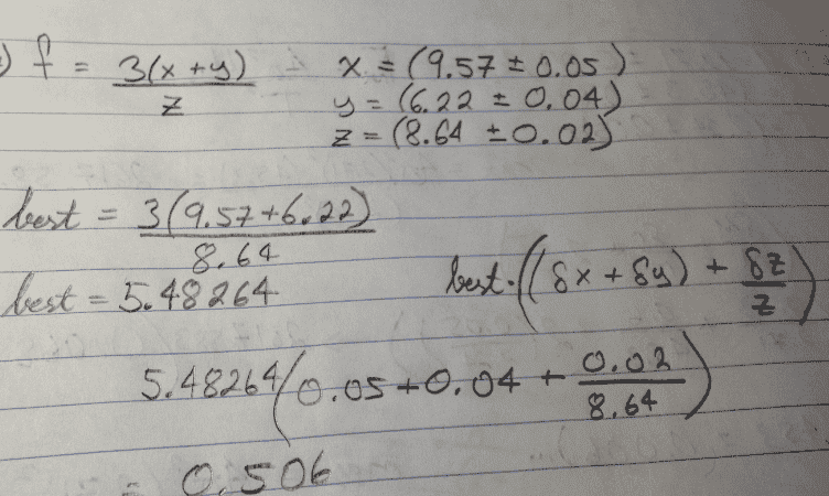
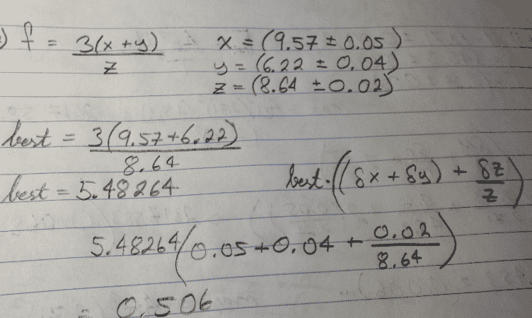
The discussion centers on a mathematical problem involving the division of variables in a formula. A participant points out an inconsistency where δz is divided by z, but δx + δy is not divided by any value. This highlights the importance of maintaining consistency in mathematical operations to ensure accurate results. The conversation emphasizes the need for careful review of formulas to avoid errors in calculations.

PREREQUISITES
  • Understanding of basic calculus concepts, including differentiation.
  • Familiarity with mathematical notation and symbols, particularly δ (delta) for changes in variables.
  • Knowledge of algebraic manipulation and simplification techniques.
  • Experience with problem-solving in mathematical contexts.
NEXT STEPS
  • Review the principles of differentiation and its applications in calculus.
  • Study the concept of partial derivatives and their significance in multivariable calculus.
  • Learn about error analysis in mathematical computations.
  • Explore algebraic techniques for simplifying complex expressions.
USEFUL FOR

Students studying calculus, mathematics educators, and anyone involved in mathematical problem-solving who seeks to enhance their understanding of variable manipulation and formula accuracy.

giantf
Messages
17
Reaction score
1

Homework Statement



56760ebb5b.png

Homework Equations

The Attempt at a Solution


c31264e876.png

The answer is different though,
0c178a05f4.png
 
Physics news on Phys.org

Similar threads

Replies
15
Views
2K
  • · Replies 8 ·
Replies
8
Views
2K
  • · Replies 4 ·
Replies
4
Views
1K
Replies
15
Views
3K
  • · Replies 5 ·
Replies
5
Views
7K
  • · Replies 3 ·
Replies
3
Views
2K
  • · Replies 9 ·
Replies
9
Views
3K
  • · Replies 2 ·
Replies
2
Views
2K
Replies
6
Views
2K
  • · Replies 16 ·
Replies
16
Views
3K