What are the steps for using natural deduction in logic?

  • Thread starter Thread starter Firepanda
  • Start date Start date
  • Tags Tags
    Logic Natural
Click For Summary
SUMMARY

The discussion focuses on the application of natural deduction in logic, specifically addressing the challenges faced when attempting to derive conclusions from premises using 'for all' elimination. The user has identified their premises and is seeking guidance on how to initiate a subderivation with an appropriate assumption. They express uncertainty regarding the validity of their inference and the strategy needed to reach the conclusion effectively.

PREREQUISITES
  • Understanding of natural deduction principles
  • Familiarity with 'for all' elimination in logic
  • Knowledge of inference rules applicable to natural deduction
  • Ability to construct subderivations
NEXT STEPS
  • Study the complete set of inference rules for natural deduction
  • Practice constructing subderivations with various assumptions
  • Explore examples of valid and invalid inferences in natural deduction
  • Learn techniques for manipulating logical statements to reach conclusions
USEFUL FOR

Students of logic, educators teaching natural deduction, and anyone interested in enhancing their skills in formal reasoning and proof construction.

Firepanda
Messages
425
Reaction score
0
Logic: Natural Deduction

8wzi2p.png


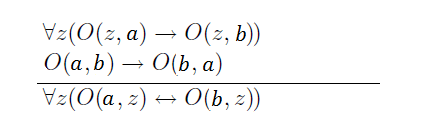
Can anyone lead me off here? I've broken down the three premises using 'for all' elimination, now I need to start a subderivation with an assumption, but I'm not sure what!

Right now I'm unsure of the strategy I need to use to get to the conclusion, what do I want to be left with to manipulate into the conclusion?

Would be grateful for any help!

A list of the inference rules I have learned so far for Natural deduction can be found HERE
 
Last edited:
Physics news on Phys.org
2ngtzpx.png


I've reduced the problem to the above, if I can prove the above then I can prove the whole thing! (I think..!)

Any help on this one? Thanks :)
 
Last edited:
Apparantly my above inference isn't valid so I cannot proceed with this method

My initial assumption is assuming P(a,b) & P(b,a)

Really stuck, would appreciate help!

Thanks
 

Similar threads

  • · Replies 12 ·
Replies
12
Views
3K
  • · Replies 4 ·
Replies
4
Views
1K
  • · Replies 3 ·
Replies
3
Views
2K
Replies
3
Views
1K
  • · Replies 5 ·
Replies
5
Views
3K
  • · Replies 3 ·
Replies
3
Views
2K
  • · Replies 2 ·
Replies
2
Views
2K
  • · Replies 34 ·
2
Replies
34
Views
4K
  • · Replies 2 ·
Replies
2
Views
3K
  • · Replies 8 ·
Replies
8
Views
2K