What Does the Number 1 Next to Nabla Symbol Mean?

  • Thread starter Thread starter bezitor1
  • Start date Start date
  • Tags Tags
    Nabla Symbol
Click For Summary
SUMMARY

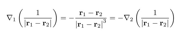
The number 1 next to the Nabla symbol (∇) indicates that the gradient is being taken with respect to the first vector variable, denoted as ##\nabla_1##. In the context of two vector variables, ##\mathbf{r_1} = (x_1, y_1, z_1)## and ##\mathbf{r_2} = (x_2, y_2, z_2)##, this notation clarifies which variable the gradient operation is applied to. Similarly, ##\nabla_2## would represent the gradient with respect to the second vector variable. Understanding this distinction is crucial for correctly interpreting vector calculus operations.

PREREQUISITES
  • Understanding of vector calculus
  • Familiarity with gradient operations
  • Basic knowledge of multivariable functions
  • Concept of vector variables
NEXT STEPS
  • Study the properties of gradients in vector calculus
  • Learn about the implications of gradient notation in multivariable functions
  • Explore applications of gradients in physics and engineering
  • Investigate the differences between partial derivatives and gradients
USEFUL FOR

Students and professionals in mathematics, physics, and engineering who are working with vector calculus and need clarity on gradient notation and its applications.

bezitor1
Messages
1
Reaction score
0
I have the number 1 next to Nabula and I do not know how to solve it. For reference, I am a Korean person, so it would be very difficult if you explain it difficultly.
ĸó.PNG
 
Physics news on Phys.org
You have a function of two vector variables ##\mathbf{r_1} = (x_1, y_1, z_1)## and ##\mathbf{r_2} = (x_2, y_2, z_2)##.

You can take the gradient with respect to either of these. So ##\nabla_1## is the gradient with respect to the first vector variable and ##\nabla_2## is the gradient with respect to the second vector variable.
 

Similar threads

Replies
4
Views
2K
Replies
2
Views
2K
Replies
44
Views
6K
Replies
1
Views
3K
  • · Replies 2 ·
Replies
2
Views
2K
  • · Replies 15 ·
Replies
15
Views
2K
  • · Replies 27 ·
Replies
27
Views
5K
  • · Replies 5 ·
Replies
5
Views
2K
Replies
5
Views
3K
Replies
3
Views
2K