What does this symbol mean and how do you type it in LaTeX?

Click For Summary

Discussion Overview

The discussion revolves around identifying a specific symbol used in an equation from Georgi Shilov's Linear Algebra. Participants explore its meaning, potential uses, and how to type it in LaTeX. The context includes theoretical aspects of linear algebra and LaTeX formatting.

Discussion Character

  • Exploratory
  • Technical explanation
  • Debate/contested

Main Points Raised

  • One participant describes a symbol resembling a curly lowercase 'f' in an equation and seeks clarification on its meaning and LaTeX representation.
  • Another participant suggests that the symbol might vary by edition and publisher, requesting additional details about the book.
  • A different participant proposes that the symbol could be a Greek letter, mentioning $\digamma$ as a possible match.
  • One participant speculates that the symbol might be a typo, arguing that it does not fit with the other terms in the equation.
  • Another participant shares a link to a tool for drawing symbols to identify the character and mentions a specific LaTeX command they found.
  • A later reply identifies the symbol as \fint, asserting it is not a typo since it appears on the next page of the book.
  • One participant confirms that the last term in the equation is simply the normal 'f' character in a math environment.
  • Another participant questions the choice of letters 'tau' and 'f' in the equation, suggesting alternative labels based on the Greek and English alphabets.

Areas of Agreement / Disagreement

Participants express differing views on whether the symbol is a typo or a legitimate character. There is no consensus on the exact nature of the symbol, and multiple interpretations are presented.

Contextual Notes

Some assumptions about the symbol's identity depend on the specific edition of the book, and there are unresolved questions about the appropriateness of the letters used in the equation.

Ragnarok7
Messages
50
Reaction score
0
I'm reading Georgi Shilov's Linear Algebra and at the bottom of page 10 is has an equation $$a_{ij}=\lambda b_i+\mu c_i +\ldots +\tau ?_i$$
Where the ? is there is a symbol that I don't know. It looks like a curly lowercase f (like an integral symbol with a short stroke through the top part). It looks kind of like this:

View attachment 1013
But not completely. The dash is not slanted and it is shorter and more towards the top. Sorry if this is an obvious symbol! If anyone knows what I'm talking about could you tell me what it is used for and how you could write it in LaTeX? Thanks!
 

Attachments

  • Screen Shot 2013-07-16 at 11.51.20 PM.png
    Screen Shot 2013-07-16 at 11.51.20 PM.png
    828 bytes · Views: 180
Physics news on Phys.org
Ragnarok said:
I'm reading Georgi Shilov's Linear Algebra and at the bottom of page 10 is has an equation $$a_{ij}=\lambda b_i+\mu c_i +\ldots +\tau ?_i$$
Where the ? is there is a symbol that I don't know. It looks like a curly lowercase f (like an integral symbol with a short stroke through the top part). It looks kind of like this:

View attachment 1013
But not completely. The dash is not slanted and it is shorter and more towards the top. Sorry if this is an obvious symbol! If anyone knows what I'm talking about could you tell me what it is used for and how you could write it in LaTeX? Thanks!

Hi Ragnarok, :)

I guess the symbol might depend on the edition and the publisher of the book in question. I mean, even if members have the book they might see a different symbol than what is in your book because they have a different edition and/or publication. So can you mention the edition and the publisher of the book? Also it would be really helpful if you can include a photo of the equation. :)
 
Well it is presumably a greek symbol, as the equation seems to be using them: $\lambda$, $\mu$, .. Does anything on this page look similar?

In LaTeX there's $\digamma$ but it may be a variant of that, just a wild guess..
 
Ragnarok said:
$$a_{ij}=\lambda b_i+\mu c_i +\ldots +\tau ?_i$$
Whatever it is it's obviously something in LaTeX code, but my guess as to the given expression is that it's a typo. The last term simply doesn't match with the rest of the equation. It should be some kind of (English) alphabet letter as in the other terms.

-Dan
 
Ragnarok said:
I'm reading Georgi Shilov's Linear Algebra and at the bottom of page 10 is has an equation $$a_{ij}=\lambda b_i+\mu c_i +\ldots +\tau ?_i$$
Where the ? is there is a symbol that I don't know. It looks like a curly lowercase f (like an integral symbol with a short stroke through the top part). It looks kind of like this:

View attachment 1013
But not completely. The dash is not slanted and it is shorter and more towards the top. Sorry if this is an obvious symbol! If anyone knows what I'm talking about could you tell me what it is used for and how you could write it in LaTeX? Thanks!

http://www.mathhelpboards.com/f26/need-help-identifying-certain-latex-characters-5223/

At this thread, I have link to site where you can draw the symbol and it will look it up for you.

Since you didn't post a picture of the symbol and just a close example, I have found

\usepackage{ tipa }
\texthtbardotlessj

http://img189.imageshack.us/img189/6277/0uo1.png
 
Last edited:
Thanks everyone. I did indeed use the LaTeX symbol-drawing tool to find the \fint symbol which looks similar. I do not believe it is a typo since it also appears on the next page.

View attachment 1014

View attachment 1015

I agree that I expected it to be a Latin alphabet letter to be consistent.
 

Attachments

  • Screen Shot 2013-07-17 at 9.18.36 AM.png
    Screen Shot 2013-07-17 at 9.18.36 AM.png
    11.9 KB · Views: 138
  • Screen Shot 2013-07-17 at 9.19.33 AM.png
    Screen Shot 2013-07-17 at 9.19.33 AM.png
    23.4 KB · Views: 133
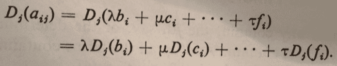
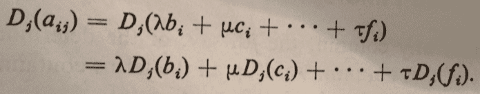
$$a_{ij}=\lambda b_{i}+\mu c_{i}+ \dots +\tau f_{i}.$$
\begin{align*}
D_{j}(a_{ij})&=D_{j}(\lambda b_{i}+\mu c_{i}+ \dots +\tau f_{i})\\
&=\lambda D_{j}(b_{i})+\mu D_{j}(c_{i})+ \dots+ \tau D_{j}(f_{i}).
\end{align*}

It's just the normal 'f' character as typed in a math environment.
 
:o Well, I feel stupid. Thank you!

Any reason why he would have chosen tau and f?
 
Ragnarok said:
:o Well, I feel stupid. Thank you!

Any reason why he would have chosen tau and f?
Probably just what the author was used to or convenient letters for later. Personally I would have labeled the last term either with a [tex]\nu d_i[/tex] (the next letters after [tex]\mu[/tex] and c in Greek and English in the series) or by [tex]\omega z_i[/tex] (the last letter of both alphabets.)

And hey, I spent two days trying to figure out what the unit "h" was supposed to represent. I finally got an answer at PhysicsForums (in my pre-MHF and MHB days) and found out it means "hour." Kind of embarrassing, but everyone misses the obvious occasionally.

-Dan
 

Similar threads

  • · Replies 3 ·
Replies
3
Views
3K
  • · Replies 2 ·
Replies
2
Views
58K
  • · Replies 4 ·
Replies
4
Views
19K
  • · Replies 4 ·
Replies
4
Views
5K
  • · Replies 4 ·
Replies
4
Views
2K
  • · Replies 8 ·
Replies
8
Views
4K
  • · Replies 5 ·
Replies
5
Views
4K
  • · Replies 3 ·
Replies
3
Views
3K
  • · Replies 3 ·
Replies
3
Views
2K
  • · Replies 12 ·
Replies
12
Views
29K